Bicsérd Község Önkormányzat Képviselő-testülete 5/2021. (V.31.) önkormányzati rendelete
Bicsérd Község Önkormányzat Polgármestere 5/2021.(V.31.) számú rendelete az Önkormányzat 2020. évi gazdálkodásának zárszámadásáról
Hatályos: 2021. 05. 31Bicsérd Község Önkormányzat Képviselő-testülete 5/2021. (V. 31.) önkormányzati rendelete
Bicsérd Község Önkormányzat Polgármestere 5/2021.(V.31.) számú rendelete az Önkormányzat 2020. évi gazdálkodásának zárszámadásáról
Bicsérd Község Önkormányzat Polgármestere a 27/2021. (I.29.) Korm. rendeletszerinti veszélyhelyzetben, a katasztrófavédelemről és a hozzá kapcsolódó egyes törvények módosításáról szóló 2011. évi CXXVIII. törvény 46. (4) bekezdése alapján, az Államháztartásról szóló 2011. évi CXCV. törvény (továbbiakban: Áht) 24. §-a, és a 368/2011.(XII.31.) Kormányrendelet (továbbiakban: Ávr.) 27. §-ában szabályozottak szerint – figyelembe véve e jogszabályt – valamint a költségvetési szervek tervezésének gazdálkodásának, beszámolásának rendszeréről szóló – többször módosított – 217/1998 (XII.31.) Kormányrendeletben meghatározottakat – a 2020. évi gazdálkodásának zárszámadásáról az alábbi rendeletet alkotja.
1. §
A rendelet hatálya
(1) A rendelet hatálya kiterjed az Önkormányzatra, valamint az Önkormányzat költségvetésében szereplő költségvetési szervekre.
a) Önállóan gazdálkodó költségvetési szerv: Bicsérdi KÖH.
2. § A címrendet az 1. számú melléklet tartalmazza.
3. §
Az Önkormányzat és költségvetési szervei 2020.évi költségvetésének teljesítése
(1) Bicsérd Község Önkormányzata – beleértve a költségvetési szerveit –
Bevételi főösszegét: 336.287.667.-Ft-ban,
Kiadási főösszegét: 294.177.337.-Ft-ban állapítja meg.
(2) Kiadási főösszegen belül a
Személyi jellegű kiadás: 30.505.228.-Ft
Munkaadót terhelő járulékok: 3.876.517.-Ft
Dologi kiadások: 32.321.404.-Ft
Felhalmozási kiadás: 67.318.600.-Ft
Ellátottak pénzbeli juttatásai: 2.902.850,-Ft
Egyéb működési célú: 1.046.629,-Ft
Finanszírozási kiadások: 156.206.109,-Ft.
4. § (1) A költségvetési kiadásokat a 2. számú melléklet tartalmazza.
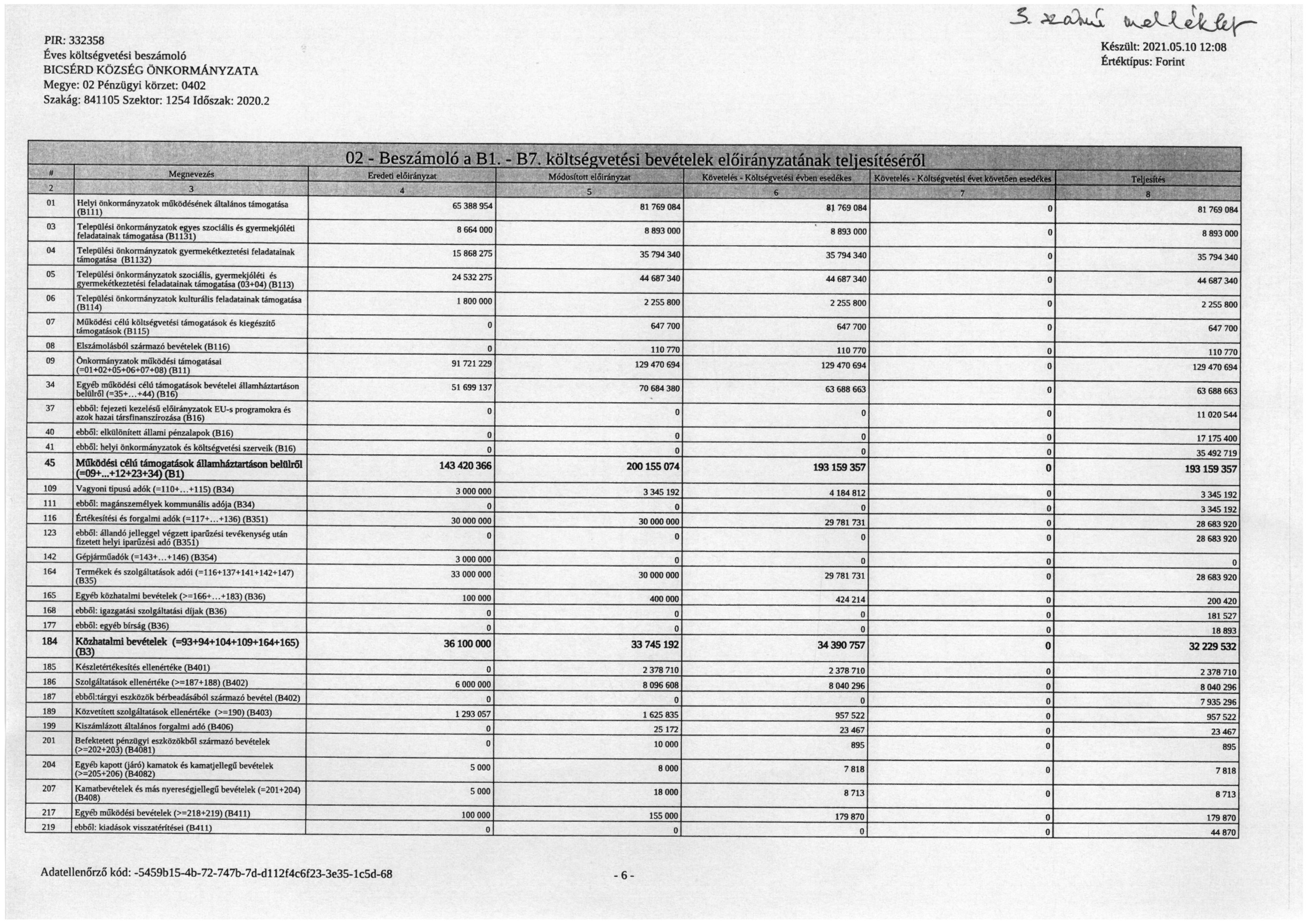
(2) A költségvetési bevételeket a 3. számú melléklet tartalmazza.
5. § (1) Bicsérd Község Önkormányzata felújítási és felhalmozási kiadásait összesen: 67.318.600.-Ft-ban állapítja meg.
(2) A Mérleget a 4. számú melléklet, az immateriális javak és tárgyi eszközök állományának alakulását az 5. számú melléklet, pénzmaradvány kimutatását a 6. számú melléklet tartalmazza.
6. § (1) Bicsérd Község Önkormányzata az Önkormányzat létszámkeretét 15 főben állapítja meg.
7. §
A Bicsérdi KÖH bevételei és kiadásai
(1) Bicsérd Község Önkormányzata Képviselő–testülete a Bicsérdi KÖH 2020. évi gazdálkodását 195.184.868.-Ft bevétellel, és 174.633.198.- Ft kiadással, ezen belül
- személyi jellegű kiadásokat: 107.307.557.- Ft
- munkaadót terhelő kiadásokat: 16.611.798.- Ft
- dologi kiadásokat: 50.713.843.- Ft-ban állapítja meg, melynek részletezését a 7. számú melléklet tartalmazza.
(2) Bicsérd Község Önkormányzata Képviselő-testülete a Bicsérdi KÖH létszámát 24 főben állapítja meg.
8. §
Záró rendelkezések
(1) Ezen rendelkezés a kihirdetés napján, de legkésőbb a veszélyhelyzet megszűnését követő 30. napon lép hatályba.
(2) A rendelet kihirdetéséről a jegyző gondoskodik.
9. § Ez a rendelet 2021. május 31-én lép hatályba.
1. melléklet
Bicsérd Önkormányzat 2020.évi költségvetésének
CIMRENDJE
1. Önálló gazdálkodási jogkörrel rendelkező költségvetési szerv
Bicsérdi KÖH
2. Önkormányzati igazgatás kiadásai
Ezen belül: igazgatási tevékenységek (polgármester és a képviselő testület juttatásai, költségei)
3. Város és községgazdálkodás
- Társadalmi szervezetek támogatása
- Közvilágítás
- Köztisztasági feladatok
- Zöldterületek karbantartása
- Vízelvezetés
- Köztemető fenntartása
- Önkormányzatok elszámolása
4. Pénzbeli ellátások
- Rendszeres pénzbeli ellátás
- Eseti ellátás
5. Egyéb szórakoztató és kulturális ellátás
6. Védőnői szolgálat
7. Fogorvosi szolgálat
8. Járó beteg ellátás
9. Máshová nem sorolt egyéb szolgáltatás
- Felújítások
- Felhalmozások
10. Általános tartalék
2. melléklet
üres cím


3. melléklet


üres cím
4. melléklet



5. melléklet
üres cím

6. melléklet
üres cím
7. melléklet
üres cím







