Szalafő Község Önkormányzatának Képviselő-testülete 3/2008 (IV.8.) Önkormányzati Rendelete
SZALAFŐ KÖZSÉG ÖNKORMÁNYZATA KÉPVISELŐ-TESTÜLETÉNEK 3/2008. (IV. 8.) SZÁMÚ RENDELETE SZALAFŐ KÖZSÉG HELYI ÉPÍTÉSI SZABÁLYZATÁRÓL ÉS A KÖZSÉG SZABÁLYOZÁSI TERVÉRŐL
Hatályos: 2021. 02. 28- 2022. 08. 03Szalafő Község Önkormányzatának Képviselő-testülete 3/2008 (IV.8.) Önkormányzati Rendelete
SZALAFŐ KÖZSÉG ÖNKORMÁNYZATA KÉPVISELŐ-TESTÜLETÉNEK 3/2008. (IV. 8.) SZÁMÚ RENDELETE SZALAFŐ KÖZSÉG HELYI ÉPÍTÉSI SZABÁLYZATÁRÓL ÉS A KÖZSÉG SZABÁLYOZÁSI TERVÉRŐL
Szalafő Község Önkormányzatának Képviselő-testülete a helyi önkormányzatokról szóló, módosított 1990. évi LXV. törvény 16. §.(1) bekezdése, az épített környezet alakításáról és védelméről szóló 1997. évi LXXVIII. törvény, továbbá az Országos Településrendezési és Építési Követelményekről (a továbbiakban OTÉK) szóló 253/1997. (XII.20.) kormányrendeletben foglaltak alapján az alábbi rendeletet alkotja:
ÁLTALÁNOS RENDELKEZÉSEK
A rendelet hatálya és alkalmazása
1. § (1) Jelen előírások hatálya Szalafő Község igazgatási területére terjed ki.
(2) Hatályon kívül helyezte a 6/2016. (XII.30.) önkormányzati rendelet.
Telekalakítás és az építés általános szabályai
2. § (1) Hatályon kívül helyezte a 6/2016. (XII.30.) önkormányzati rendelet.
(2) Telekalakítás során az érintett telkek mindegyikének járműközlekedésre alkalmas közterülethez, vagy önálló helyrajzi számon útként nyilvántartott magánúthoz kell csatlakoznia, méreteiknek pedig meg kell felelnie a vonatkozó övezeti előírásoknak.
(3) Hatályon kívül helyezte a 6/2016. (XII.30.) önkormányzati rendelet.
(4) Az előírt közművek és utak létesítéséről az önkormányzat, vagy a telektulajdonosok gondoskodnak. Közforgalomnak átadott magánterület esetében a közforgalom számára megnyitás tényét a tulajdoni lapra rá kell vezetni.
A Szabályozási Terv elemei
3. § (1) A Szabályozási Terv kötelező elemei:
a) Beépített és beépítésre szánt terület határa.
b) Beépítésre szánt, beépítésre nem szánt és távlati célzott terület felhasználásra tartalékolt területrészek, építési övezetek, övezetek lehatárolása, jele, valamint telekalakítási és beépítési paraméterek.
c) Az egyes épülettípusokhoz tartozó építészeti karakterjellemzők e rendelet 2, 3, 4, 5 sz. mellékletei szerint.
d) Szabályozási vonal.
(2) A Szabályozási Terv kötelező elemeinek módosítása esetén az épített környezet alakításáról és védelméről szóló törvény előírásai az irányadók. (Módosította a 6/2016. (XII.30) önkormányzati rendelet.)
(3) A Szabályozási Terv irányadó elemei
a) magánút területe, illetve határa
b) építési hely határa
c) területegységen belül kötelezően fenntartandó zöldterület határa
d) az 1. sz. mellékletben ábrázolt új épületcsoport építési helyen belüli elrendezése
e) a 2, 3, 4, 5, 6, 7 sz. mellékletben javasolt épületarányok
f) a megőrzendő fa, cserjecsoport határa
g) a ház körüli tervezett gyümölcsös határa
(4) Valamennyi építendő épület tömege és az épület jellege meg kell feleljen a környezetbe illeszkedés feltételeinek. (Módosította a 6/2016. (XII.30.) önkormányzati rendelet.)
Elvi építési engedélyezési eljárás
4. § Hatályon kívül helyezte a 6/2016. (XII.30.) önkormányzati rendelet.
Az építési engedélyezésre vonatkozó kiegészít_ rendelkezések
5. § (1) Helyi védelem alatt álló épület/építmény esetén e rendelet 25. §. (3) bekezdése szerint kell eljárni.
(2) Hatályon kívül helyezte a 6/2016. (XII.30.) önkormányzati rendelet.
(3) Hatályon kívül helyezte a 6/2016. (XII.30.) önkormányzati rendelet.
(4) Szalafő igazgatási területén csak a helyi idegenforgalmat szolgáló reklám és hirdetés helyezhető el. (Módosította a 6/2026. (XII.30.) önkormányzati rendelet.)
a) A reklámfelület nagysága legfeljebb 1m² lehet.
b) Hatályon kívül helyezte a 6/2016. (XII.30.) önkormányzati rendelet.
Kerítés létesítésének szabályai
6. § (1) Beépítésre szánt területen:
a) Kerítés az építési helyen meglévő, vagy újonnan létesített épületcsoport körülépíthető. Anyaga sövény (gyertyán, veresgyűrű som, fagyal, orgona, boróka), vagy tömör lábazat nélküli egyszerű, függőleges osztású léckerítés lehet, melynek megengedhető legnagyobb magassága utcafronton 120cm, egyéb helyen pedig160cm.
b) Vízszintes osztású és fa anyagú kerítés építhető
- A tókák körül
- A lakótelkek kötelezően zöldfelületként fenntartandó részén létesített állatkifutók lehatárolására
(2) Beépítésre nem szánt területen:
A gyepeken és legelőkön a hagyományos állattartást szolgáló (1) b.) szerinti karámok és villanypásztor telepíthető.
Területfelhasználás
7. § A szabályozási tervlap az alábbi terület-felhasználási egységeket különbözteti meg:
a) A beépítésre szánt területen az építési használat sajátos jellege szerint:
− falusias lakóterületet,
- kereskedelmi, szolgáltató gazdasági területet és
− különleges területet.
b) A beépítésre nem szánt területen:
− közlekedési és közműterületet,
- zöldterületet,
- erdőterületet,
- mezőgazdasági területet és
- vízgazdálkodási területet.
BEÉPÍTÉSRE SZÁNT TERÜLETEK
Falusias lakóterület általános el_írásai
8. § (1) A falusias lakóterületen épületet elhelyezni csak azon a telken lehet, amelyen a Szabályozási Terv építési helyet jelöl.
(2) Az építési hellyel rendelkező lakótelkek kevés kivételtől eltekintve beépíthető és kötelezően zöldfelületként fenntartandó telekrészre tagozódnak.
(3) Az építési hellyel nem rendelkező telkek égészén a területegységen belül kötelezően fenntartandó zöldfelületre vonatkozó előírásokat kell alkalmazni.
(4) A falusias lakóterületen csak az alábbi funkciójú építmények létesíthetők
− elsődlegesen lakóépület,
- kereskedelmi, szolgáltató, vendéglátó épület,
- szálláshely szolgáltató épület,
- kézműipari építmény,
−helyi igazgatási, egyházi, oktatási, egészségügyi, szociális épület, és
−mező- és erdőgazdasági építmény, lakókörnyezetet nem zavaró helyitermény-feldolgozó a lakóépület egyidejű elhelyezésével, az egyes építési övezetek külön előírásainak figyelembevételével építhető.
(5) Falusias lakóterületen önálló garázs nem építhető.
(6) Az egyes övezetekben foglalt előírásokon túl e rendelet 25. §. Művi értékvédelem című fejezetét is figyelembe kell venni.
(7) A falusias lakóterületet részleges közművel kell ellátni. A csatornahálózatra valórákötést szorgalmazni kell, de tekintettel a sajátos településszerkezetre azokban az esetekben, ha naponta 1m³ -nél kevesebb szennyvíz keletkezik és a szennyvízvezeték legközelebbi szakasza 100m-mél messzebb van, megengedhető igazoltan zárt gyűjtő építése.
(8) A meglévő tókákat karban kell tartani. Bekeríthetők, körülötte az élőhelynek megfelelő honos növényzet ültethető. Új tóka a beépíthető és a zöldfelületként fenntartandó telekrészen egyaránt létesíthető, legnagyobb mérete (átmérője) legfeljebb 5,00 m lehet.
Falusias lakóterület építési övezete
9. § (1) Az övezeti előírások az építésre kijelölt telkek beépíthető területére vonatkoznak.
(2) Az<Lfv> jelű építési övezet előírásai:
a) A telekalakítás szabályai:
−Telekalakításkor a keletkező új telkek:
- legkisebb területe 1800.0 m2
- szélessége: 22.0 m
- mélysége 60,0 m kell legyen.
b) Hatályon kívül helyezte a 6/2016. (XII.30.) önkormányzati rendelet.
c) Az elő-, oldalkert legkisebb mérete 2,0 m, kivételt képeznek azok az esetek, ahol a kialakult beépítés ennél kisebb értéket mutat, ott azt kell figyelembe venni.
d) A megengedett legnagyobb beépítettség 30 % lehet, azonban az összesített bruttó alapterület nem haladhatja meg a 600 m²-t.
e) Azokon a telkeken, ahol a Szabályozási Terv épületkontúrt jelöl, csak 1 db, legfeljebb bruttó 90 m2 alapterületű lakóház építhető. (Módosította a 6/2016. (XII.30.) önkormányzati rendelet.)
f) A különböző épülettípusok építménymagasságát e rendelet 2, 3, 4, 5 sz. mellékletei szerint kell meghatározni.
g) Épületek karakterére vonatkozó előírások
−Új lakó és gazdasági építmény tömegarányait, tetőformáját, anyaghasználatát, színezését e rendelet 2, 3, 4, 5 sz. mellékletének figyelembevételével.
h) Az egyes funkciók elhelyezése
−Lakóövezetben a kiegészítő funkciókat (kereskedelem, szolgáltatás, vendéglátás, szálláshely, kézműipar, mezőgazdasági tároló és feldolgozó, gépkocsi tároló) szükség szerint csoportosítva a paraszti gazdaság hagyományos gazdasági épületeinek (pajták, istállók, színek) arányai szerint szerkesztett épületekben kell elhelyezni.
i) A megengedhető legnagyobb szintterület sűrűség 0,5.
j) A zöldfelület megengedett legkisebb mértéke 50% lehet.
k) Zöldfelület kialakítása a beépíthető telekrészen belül
−A zöldfelületet honos fafajok, cserjék, gyümölcsfák ültetésével kell kialakítani.
−Lejtős telkeken az épületek elhelyezését feltöltések, rézsűk, mesterséges terepalakulatok nélkül kell megoldani.
−A gépkocsi telken belüli közlekedését kavicsolt keréknyommal vagy úttal kell biztosítani. Ugyanígy kell kialakítani a gyalogösvényeket is.
(3) A település és a táj kapcsolatát elsőrendűen meghatározó kötelezően fenntartandó zöldfelületek előírásai:
a) Megőrzendő tájalkotó elemek:
−a rétek és
−az épületcsoportok körüli kaszált gyümölcsösök.
b) Hatályon kívül helyezte a 6/2016. (XII.30.) önkormányzati rendelet.
c) Az övezetben csak legfeljebb 100 m² alapterületű és 4,0 m építménymagaságú szénatároló és karám építhető. Szénatároló elhelyezésénél a kilátás és rálátás a Szabályozási Terven jelölt helyeken nem sérülhet.
Gazdasági területek
10. § Szalafő területén sajátos építési használata szerint a Szabályozási Terv kereskedelmi szolgáltató célú gazdasági területet határol körül.
Kereskedelmi, szolgáltató terület és általános előírásai
11. § (1) A kereskedelmi, szolgáltató területen az egyes övezetekben meghatározott funkciók helyezhetők el.
(2) Hatályon kívül helyezte a 6/2016. (XII.30.) önkormányzati rendelet.
(3) A kereskedelmi szolgáltató terület övezeteit részleges közművel kell ellátni.
(4) Az épületek megjelenésére vonatkozó előírások:
− Az épületek tömege, anyaghasználata, színezése a kialakult településképhez kell illeszkedjen.
(5) A létesítmények működéséhez szükséges számú gépkocsiparkolót telken belül kell elhelyezni.
A kereskedelmi, szolgáltató gazdasági terület építési övezetei
12. § (1) A <Gksz1>jelű építési övezet előírásai:
a) Az övezet területén elhelyezhetők:
− idegenforgalmi szálláshelyek
− szociális létesítmények
− vendéglátó- és
− kereskedelmi egységek.
b) Kiegészítő építési előírások
− Az építményeket a Szabályozási Terven jelölt építési helyen belül, a lakóterületen alkalmazott hagyományos épületcsoport – elrendezéshez és épületkarakterhez igazodva kell elhelyezni.
(2) A jel <Gksz2> építési övezet előírásai.
a) Az övezet területén tejfeldolgozó és szükséges kiegészítő létesítményei helyezhetők el.
b) Az építményeket a Szabályozási Terven jelölt építési helyen belül kell elhelyezni. A beépítettség a jelenlegi alapterület 3%-val növelhető.
(3) A jel <Gksz3> építési övezet a volt fűrészüzem területére terjed ki.
a) Az övezet területén elhelyezhetők:
− idegenforgalmi szálláshelyek
− vendéglátó- és
− kereskedelmi egységek.
b) A fűrészüzem meglévő, helyi védelem alatt álló épülete nem bővíthető, külső megjelenési formája megőrzendő. Az építési helyen belül, a meglévő épülettől különállóan 1 db, a hagyományos pajtaépület arányai szerint szerkesztett melléképület helyezhető el legfeljebb 120 m² bruttó alapterülettel.
(4) A jel<Gksz4> építési övezet a volt TSZ major területére terjed ki.
a) Az övezet területén a mezőgazdasági termeléshez kapcsolódó raktározási, tárolási és termék – feldolgozásra szolgáló épületek helyezhetők el.
b) Kiegészítő előírások:
− előkert legkisebb mérete 10,0 m
− oldal és hátsókert legkisebb mérete 6,0 m lehet.
c) Az övezetben az új épületek a hagyományos pajtaépület tömegarányai és anyaghasználata szerint alakítandók ki.A kereskedelmi, szolgáltató gazdasági területek építési övezeteinek építési előírásait a Rendelet 10. melléklete tartalmazza. (Módosította a 6/2016. (XII.30.) önkormányzati rendelet)
(5) A <TGksz1>jelű tartalék kereskedelmi szolgáltató terület a tejfeldolgozás későbbi bővítésére tartandó fenn. Felhasználásáig belterületi mezőgazdasági területként művelendő.
(6) Felhasználásakor alkalmazandó előírások:
− Legfeljebb 2500m² nagyságú telek alakítható ki.
− Építményt elhelyezni, a teleknagyságra vonatkozó előírás kivételével a Gksz-2 övezetben foglaltak szerint lehet.
Különleges terület általános előírásai
13. § (1) Az övezetben csak a célzott terület felhasználásnak megfelelő alaprendeltetések, valamint az azt kiegészítő funkciók helyezhetők el.
(2) Az épületek külső megjelenésének illeszkedni kell a hagyományosan kialakult védett településképhez.
(3)1
Különleges terület építési övezetei
14. §2 (1) A Kr jelű építési övezet a református templom telkére terjed ki, amely elsősorban egyházi, szakrális funkciót szolgál. Az épület és környezete jelenlegi megjelenési formájában tartandó fenn, új építmény az övezetben nem építhető.
(2) A Kt jelű terület a temető területe, amelyen a temetkezési funkciót kiszolgáló és a terület fenntartása érdekében szükséges építmény építhető.
(3) A Ksp jelű építési övezet a községi sportpálya (092/36,37hrsz) Szabályozási Terven ábrázolt területére terjed ki, amelyen csak az alaprendeltetést, szabadidő eltöltését, idegenforgalmat és a helyi községi rendezvényeket kiszolgáló építmények helyezhetők el.
(4) A Klp jelű építési övezetben művelődési, oktatási, kulturális és idegenforgalmi információs feladatokat ellátó őrségi Látogató Központ épülete, parkoló és szabadtéri színpad létesülhet.
(5) Az épület nyugati oldalának párkánymagassága a régi bánya nyugati partfalának rendezett felső síkjától számított 4,0m-nél nagyobb nem lehet.
(6) A Kh jelű építési övezet a volt határőrlaktanya (044 hrsz.) területére terjed ki. Az övezetben agrár és kertészeti termékek tárolását szolgáló funkciók helyezhetőek el.
(7) A Kfm jelű építési övezet a Pityerszeri Falumúzeum területe, amelyen csak az alaprendeltetésének megfelelő és azt kiegészítő rendeltetésű építmények helyezhetők el.
(8) A Kj jelű építési övezet a játszótér területére terjed ki, amelyen belül a rendeltetésszerű használatot szolgáló játszószerek és építmények helyezhetők el. (9) Az egyes övezetek telekalakítási, építési előírásait e rendelet 1. melléklete tartalmazza.
BEÉPÍTÉSRE NEM SZÁNT TERÜLETEK
Közlekedési területek
15. § (1) A község területén közlekedési célra területet felhasználni, közlekedési létesítményt elhelyezni csak az OTÉK, a hatályos jogszabályok, valamint a jelen rendelet előírásai szerint szabad.
(2) A közutak és a közterületek számára a szabályozási terven meghatározott területet biztosítani kell.
(3) A szabályozási szélességen belül csak a közút létesítményei, berendezései és közművek létesíthetők, illetve növényzet telepíthető.
(4) A közúthálózat elemeinek kategorizálását, építési szélességek felsorolását a rendelet 12. melléklete tartalmazza. (Módosította a 6/2016. (XII.30.) önkormányzati rendelet.)
(5) Az egynyomú külterületi mezőgazdasági önkormányzati utaknál 200-300m-ként a kitérési, kerülési lehetőséget biztosítani kell.
(6) A szerek megközelítését, belső kiszolgálását célzó egynyomú kiszolgáló utaknál 200-300m-ként a kitérési, kerülési lehetőséget biztosítani kell.
Közműterületek és létesítmények
16. § (1) A meglévő és a tervezett közcélú vízellátás, vízelvezetés (szenny- és csapadékvíz), energiaellátás (villamos energia ellátás, földgázellátás), valamint a hírközlés hálózatai és létesítményei, továbbá azok ágazati előírások szerinti biztonsági övezeteik számára közműterületen, vagy közterületen kell helyet biztosítani. Ettől eltérő esetben– ha azt egyéb ágazati előírás nem tiltja – a közművek és biztonsági övezetük helyigényét szolgalmi jogi bejegyzéssel kell fenntartani.
(2) A közműhálózatok és létesítmények ágazati előírások szerinti biztonsági övezetén belül mindennemű tevékenység csak az illetékes üzemeltető hozzájárulása esetén engedélyezhető.
(3) Új közművezetékek létesítésekor és egyéb építési tevékenység (útépítés, építményépület, műtárgy-építés, stb.) esetén a kivitelezés során a meglévő közművezeték nyomvonalával, vagy közműlétesítmény telepítési helyével ütköző építéseknél a meglévő közművezetékek, vagy közműlétesítmények kiváltását, vagy szabványos keresztezését ágazati előírások szerint kell kivitelezni.
(4) Új útépítésnél, útrekonstrukciónál a tervezett közművek egyidejű kiépítéséről illetve a meglévő közművek szükséges egyidejű rekonstrukciójáról gondoskodni kell.
(5) A település beépítésre nem szánt területén elhelyezhető építményben keletkező szennyvizeket ha:
a) A napi keletkező szennyvíz mennyisége nem haladja meg a 3m³-t, a közcsatorna-hálózathoz csatlakozni 100m-en belül nem tud, akkor a térség közcsatorna-hálózatának kiépítéséig a szennyvizeket szigorúan – ellenőrzötten – zárt szennyvízgyűjtő medencébe kell összegyűjteni és szippantó kocsival a kijelölt ürítőhelyre szállítani. Ha a közcsatorna kiépítése a beépítésre nem szánt területet100m távolságra megközelíti, akkor az érintett ingatlanokat kötelezni kell a közcsatornára való rákötésre.
b) A napi keletkező szennyvíz mennyisége meghaladja a 3m³-t, a közcsatorna-hálózathoz csatlakozni 200m-en belül nem tud, a befogadó rendelkezésre áll, és egyéb előírások nem tiltják, az illetékes hatóságok hozzájárulásával a keletkező szennyvizek tisztítására engedélyezhető helyi szennyvíztisztító kisberendezés. A kisberendezés védőtávolsága nem nyúlhat túl az engedélyezés ingatlanán.(Amennyiben a keletkező szennyvíz mennyisége meghaladja a napi 3m³-t, de a szennyvíztisztító kisberendezés létesítése nem engedélyezhető, ki kell építeni a közcsatorna csatlakozást, különben építési engedély nem adható!)
(6) Közművezetékek, járulékos közműlétesítmények elhelyezésénél a község képi megjelenésre, esztétikai követelmények betartására is figyelemmel kell lenni.
(7) A telken belül tervezett gáznyomás-szabályozók az épületek utcai homlokzatára nem helyezhetők el. A berendezés a telkek előterében, udvarán, vagy az épület alárendeltebb homlokzatára szerelhetőek.
(8) A földgázvezetéket közterületen és telken belül is csak föld alatti elhelyezéssel szabad kivitelezni (épület homlokfalára földgázvezeték nem szerelhető.)
(9) Területgazdálkodási okokból, valamint az utca fásítási lehetőségének a biztosítására villamos energia elosztási, a közvilágítási és a távközlési szabadvezetéket közös egyoldali oszlopsorra kell fektetni, amelyre egyben a közvilágítást szolgáló lámpafejek is elhelyezhetőek.
(10) Új közvilágítási hálózat létesítésekor, meglévő közvilágítási hálózat rekonstrukciója során csak energiatakarékos lámpatestek elhelyezése engedélyezhető.
(11) Közszolgálati hírközlési antennák Szalafő igazgatási területén nem helyezhetők el.
Zöldterületek
17. § (1) A Szabályozási Terv sajátos funkciója alapján közparkot és kegyeleti parkot különböztet meg.
(2) Közpark (Zkp)
a) A község északi részéhez kapcsolódóan a 092/25 hrsz. északi sarkában létrehozott Milleniumi Emlékparkban csak a rendeltetésének megfelelő szobrok, objektumok. pihenőhelyek helyezhetők el, épület nem építhető.
b) A 64 hrsz. Szabályozási Terven közpark céljára lehatárolt részén a volt jégverem és környéke rendezett zöldfelületként tartandó fenn. A jégvermen kívül a telken építmény nem építhető.
(3) Kegyeleti Park (Zkpe) A 092/3hrsz.-on fekvő, bezárt temető területén a községben valaha élt, itt tevékenykedő és itt nyugvó emberek tiszteletére kegyeleti park létesítendő. Csak a közösségi emlékezetet szolgáló szobrok, síremlékek, objektumok, pihenőhelyek helyezhetők el a területen, épület nem építhető.
(4) Hatályon kívül helyezte a 6/2016. (XII.30.) önkormányzati rendelet.
(5) A településen védett természeti területen tájidegen növényfajok nem telepíthetők. (Megállapította a 6/2016. (XII.30.) önkormányzati rendelet.)
Erdőterületek
18. § (1) Erdőterület a földhivatali nyilvántartás szerint erdő művelési ágban nyilvántartott, valamint a Településszerkezeti és Szabályozási Tervben erdőként körülhatárolt és megjelölt, e célra szolgáló terület.
(2) A közigazgatási területen található erdőterületek rendeltetésük szerint védelmi erdők. A védelmi erdő lehet védő és védett.
(3) Az (Ev1) jelű véderdők a természeti környezet, a létesítmények védelmét vagy egyébvédelmi célokat szolgálnak. Sajátos funkciójuk szerint lehetnek:
−Ev1-b a szomszédos mezőgazdasági terület védelmét szolgáló mező védő
−Ev1-h a majort védő településvédelmi
−Ev1-i tájvédelmi erdő (0100 hrsz erdőben lévő kavicsbánya, 526, 092/20, 037/8és a 064/17 hrsz agyagbánya területén).
(4) A szabályozási terven védelmi rendeltetésű erdő övezetként szabályozott területen többszintes növényállomány telepítendő legalább 15,0m szélességben.
(5) Az övezetben épületek nem építhetők, az OTÉK 32. §.-a szerinti építmények csak akkor helyezhetők el, ha az érintett erdőrészt védelmi rendeltetésének betöltésében nem zavarják.
(6) A szabályozási terven (Ev2) jellel jelölt erdők országos természeti védelem alatt állnak, egyrészt az Őrségi Nemzeti Park, másrészt a 037/10 hrsz kivételével Natura2000 európai hálózat részei.
a) A védett erdők kezelésénél elsőbbséget élvez a fenntartható területhasználat, valamint a biológiai sokféleség védelme és másodlagosak a gazdasági szempontok.
b) Az övezetben új építmény 10 ha-t meghaladó területnagyságú telken csak indokoltesetben, a természeti értékek, tájképi adottságok károsítása, sérelme nélkül létesíthető.
−Az épület bruttó alapterülete legfeljebb 30,0 m²
−Legnagyobb homlokzatmagassága 3,5 m lehet.
−A beépítési mód szabadonálló
(7) Hatályon kívül helyezte a 6/2016. (XII.30.) önkormányzati rendelet.
(8) Az <Ee> jelű erdőterület 092/25. hrsz Milleniumi közparkon kívül eső része tervezett turisztikai pihenőerdő. Az övezetben padok, tűzrakó helyek, esőbeálló helyezhető el. Kialakítása tájtervező által készített tervek alapján lehetséges.
(9) Lakókocsi, lakókonténer, egyéb mobil jellegű építmény az erdőterületeken még átmenetileg sem helyezhető el.
(10) Erdőtelepítés, erdőfelújítás során az erdőterületeken a termőhelyi adottságoknak megfelelő lehetőleg honos fafajok telepítendők.
(11) A védett élőhelyeken előforduló védett természeti értékek megóvása érdekében cserjeirtás és fakitermelés csak vegetációs időn kívül (március 15 és augusztus 31 között) történjen. Vegetációs időben fakitermelés csak a természetvédelmi hatóság előzetes engedélyével történhet. (Megállapította a 6/2016. (XII.30.) önkormányzati rendelet.)
Mezőgazdasági terület általános előírásai
19. § (1) Szalafő mezőgazdasági területei az Őrségi Nemzeti park részeként országos természeti védelem alatt állnak, egyidejűleg beletartoznak a Natura2000 európai hálózatba is.
(2) A mezőgazdasági terület a település növénytermesztés és állattenyésztés céljára szolgáló része, ahol a termőföldvédelem mellett a hagyományos és egyedi tájhasználati és természeti értékek megőrzését is figyelembe kell venni.
(3) Hatályon kívül helyezte a 6/2016. (XII.30.) önkormányzati rendelet.
(4) Az övezetben csak turisztikai vagy tudományos kutatási rendeltetésű, 10 métert meg nem haladó magasságú kilátótorony helyezhető el. Egyéb magas építmény (pl. távközlési, energetikai) létesítése nem engedélyezhető. Az övezet területén külszíni bánya nem nyitható, potenciálisan környezetszennyező létesítmény nem telepíthető.
(6) Hatályon kívül helyezte a 6/2016. (XII.30.) önkormányzati rendelet.
(7) A mezőgazdasági terület övezeteiben a terv jóváhagyása előtt már meglévő gazdasági épületek a kialakult beépítettségtől függetlenül megtarthatók és felújíthatók (amennyiben a vonatkozó összes szakhatósági előírásoknak maradéktalanul megfelelnek), illetve – ha jelen előírásokban foglaltak és a megengedett beépítési százalék azt lehetővé teszi – az érintett telken új épület is létesíthető.
(8)3 A mezőgazdasági terület az azonos tájjelleg, használat, a beépítettség sajátossága szerint a következő övezetekbe tartozik:
a) Az általános mezőgazdasági Máv övezetbe az árutermelő, zömében szántó földrészletek.
b) A gyepes Mágy övezetbe a földhivatali művelési ág szerint gyepgazdálkodással hasznosított területek.
Általános mezőgazdasági terület övezetei
20. §4 (1) Általános, túlnyomóan szántó művelésű (Máv) jelű mezőgazdasági területen csak hagyományos állattartást szolgáló építmények (pajta, szárnyék, géptároló) létesíthető.
(2) A Máv jelű övezetben építmények elhelyezése az alábbi előírások szerint lehetséges:
A beépíthető telkek
a) legkisebb területe: 1,0 ha
b) szélessége: 50,0 m
c) mélysége: 80,0 m
d) az elő, oldal- és hátsókert mérete min. 15,0 m
e) a beépítettség legnagyobb mértéke 2,5 %, de max. bruttó 300 m²
f) a megengedett legnagyobb építménymagasság 4,5 m
g) a beépítési mód: szabadonálló
(3) Az épület tömegformálása, anyaghasználata a helyben kialakult hagyományos gazdasági épülettípusokhoz kell igazodjon.
(4) A Szabályozási Terven rálátás és kilátásvédelmi okokból nem beépíthetőnek jelölt telkeken vagy telekrészeken építmény nem helyezhető el.
(5) A mezőgazdasági hasznosítás előírásai:
a) az istállótrágyázást, tápanyag-utánpótlást, vegyszerek használatát időben és mennyiségben korlátozni szükséges az ökológiai gazdálkodásban engedélyezett megengedett mértékre;
b) a gazdálkodóknak területük 20%-án el kell tűrni a belvizes foltokat;
(6) A mezőgazdasági tájfásítás fennmaradt elemeinek maradéktalan megóvásán túl, az árkok, csatornák, a köz- és dűlőutak, a birtokhatárok mentén új, az élővilág fennmaradását szolgáló fasorokat, cserjesávokat, erdősávokat kell telepíteni.
(7) Az Mágy jelű övezetbe tartozó védett területek kialakult gyepművelési águk alapján korlátozott használatú mezőgazdasági területek.
(8) A mezőgazdasági hasznosítás előírásai:
a) A gyepek területe nem csökkenthető, - a meglevő gyepek fenntartásán túl kívánatos egyéb, ökológiailag kevésbé értékes területek gyepesítése.
b) A kialakult táblahatárok mezsgyéit, gyepes tábla szegélyeit meg kell őrizni.
c) A gyepterületeken meglévő faállomány védendő, pótlásuk őshonos fafajokkal szükséges;
d) A keletkező vizek megőrzendők, a felszíni vizek elvezetése, a talajvíz csökkenését eredményező tevékenységek nem végezhetők;
e) Műtrágyázás, vegyszerezés, intenzív gépi művelési technológiák végzése a rét és legelőterületeken nem megengedett.
(9) Építmények elhelyezésére vonatkozó előírások:
a) Az övezet területén csak a gyepművelést szolgáló építmény (szénapajta) helyezhető el. A beépíthető földrészlet legkisebb területe 3,0 ha, amelyen legfeljebb 120m² alapterületű, 4,0 m építménymagasságú szénatároló építhető.
b) Kivételt képez a Pityerszeren fekvő 064/10hrsz, ahol a szabályozási terven a telken belül jelölt építési helyen boronaház elhelyezhető. c) A Szabályozási Terven rálátás és kilátásvédelmi okokból nem beépíthetőnek jelölt telkeken vagy telekrészeken építmény nem helyezhető el.
Gyepművelésű mezőgazdasági terület övezete
21. §5
Vízgazdálkodási területek
22. § (1) Szalafő területén a következő vízgazdálkodással összefüggő területek találhatók:
a) a folyóvizek árkok medre és parti sávja, <V1>
b) A vízgazdálkodási műszaki létesítmények övezete,<V2>
(2) A természetes vízfolyások új, vagy más mederbe terelése nem engedhető meg. A természetes vagy természet közeli élővízfolyás partjától számított 50 m-en belül új épület nem helyezhető el.
(3) Az övezetben levő vízgazdálkodási területeken a természetes és természet közeli vízmedrekre vonatkozó kezelési - fenntartási irányelveknek megfelelően kell biztosítani a vízi- és víz közeli élőhelyek védelmét, a vízháztartásba történő művi beavatkozások az övezet területén kerülendők.
(4) A <V1> jelű övezetben a patakok medrében és partján a jelenlegi állapotot megváltoztató tevékenység a meder kezelője és az illetékes szakhatóság hozzájárulásával végezhető.
(5) A <V2> jelű vízgazdálkodási műszaki létesítmények övezetében (víztorony, az önálló hrsz nélküli szennyvíztisztítók) csak a rendeltetésszerű működéshez szükséges építmények és szerkezetek helyezhetők el.
(6) Védett természeti területen az illetékes természetvédelmi hatóság előzetes engedélye szükséges a vízfolyások partélének karbantartási munkálataihoz. (Megállapította a 6/2016. (XII.30.) önkormányzati rendelet.)
EGYÉB ELŐÍRÁSOK
Környezetvédelem
23. § (1) Levegőtisztaság védelem Levegőtisztaság-védelmi szempontból védelmi övezetet igénylő tevékenység kizárólag abban az esetben folytatható, ha védő övezete lakóterületet, vegyes területet, rekreációs célú területet (sportterület, zöldterület) vagy természeti területet nem érint. Védelmi övezeten belül állandó, időszakos, vagy átmeneti emberi tartózkodásra szolgáló létesítmény (pl. oktatási, egészségügyi, üdülési stb. célt szolgáló létesítmény) nem helyezhető el. A védőövezet területén levegőterhelésre érzékeny, élelmezési célt szolgáló növényi kultúra nem termeszthető.
(2) Hatályon kívül helyezte a 6/2016. (XII.30.) önkormányzati rendelet.
(3) Hatályon kívül helyezte a 6/2016. (XII.30.) önkormányzati rendelet.
(4) Hatályon kívül helyezte a 6/2016. (XII.30.) önkormányzati rendelet.
(5) Olyan közlekedési útvonalak mellett, ahol a gépkocsiforgalomból eredő zajhatás hosszú távon valószínűleg más módon nem csökkenthető az érintett övezetben egyébként érvényes zajhatárértéknek megfelelően, az épületeken alkalmazott passzív akusztikai védelem (falburkolás, speciális nyílászárók beépítése) eszközeivel kell elérni, hogy a különböző helyiségeken belül érvényes megengedett „A” hangnyomásszintek ne kerüljenek túllépésre.
(6) Hulladékgazdálkodás
a) A keletkező kommunális szilárd hulladékok rendezett gyűjtését és a szükséges időközönkénti elszállítását biztosítani kell. A gyűjtő edényzetbe bomló szerves anyag nem kerülhet. A keletkező hulladékok kizárólag kijelölt hulladéklerakó helyre szállíthatók.
b) Veszélyes hulladékokat eredményező tevékenységek a lakóterületen kizárólag a lakosság alapfokú ellátásához kapcsolódó tevékenységek (pl. fogászat, fotólabor, kozmetika, gyógyszertár, javítószolgáltatások, stb.) folytatása esetén engedélyezhetők.
c) A veszélyes hulladékokat az ártalmatlanításig, ill. az elszállításig a vonatkozó jogszabályokban előírt módon, hulldékfajtánként elkülönítetten kell gyűjteni és környezetszennyezés nélkül tárolni.
d) Szalafő területén kívül keletkezett bárminemű hulladékok a közigazgatási területen nem tárolhatók és nem dolgozhatók fel.
(7) Földvédelem
a) Talajszennyezés veszélyével járó tevékenységek a szennyezést kizáró (a tevékenységtől függően víz-, szénhidrogén-, stb.) záró aljzaton végezhetők. Mezőgazdasági területen trágya, trágyalé kizárólag zárt tárolóban gyűjthető.
b) Épületek, létesítmények elhelyezésekor a terület előkészítése során a beruházónak a termőföld védelméről, összegyűjtéséről, megfelelő kezeléséről és újrahasznosításáról gondoskodnia kell.
c) Feltöltések kialakítására kizárólag talajvédelmi szempontból minősített, vagy szabványosított termék és anyag használható. Környezetet károsító anyag, ill. veszélyes hulladék alkalmazásának gyanúja esetén az I. fokú építésügyi hatóság az engedélyezési eljárás keretében elrendelheti a feltöltésre szánt anyagok vizsgálatát.
d) A mezőgazdasági területeken a defláció elleni védelem érdekében mezővédő erdősávokat kell telepíteni.
e) A vízerózió által veszélyeztetett területeken az eróziót gátló művelési módot kell bevezetni, vagy állandó növényzetet kell telepíteni.
(8) Vízvédelem
Szalafő község igazgatási területe a felszíni vizek vízminőségvédelmi vízgyűjtő területének övezetéhez tartozik.
(9) A felszíni vizek bármilyen jellegű szennyezése tilos. A vízfolyások környezetében nem folytathatók olyan tevékenységek, melyek veszélyeztetik a felszíni vizek, továbbá a talaj- és a talajvizek állapotát, és talaj vagy talajvízszennyezést okozhatnak, így különösen
−Állattartás a vízfolyások legalább 200m-es körzetén belül nem folytatható,
−Növényvédelmi tevékenység a vízfolyások környezetében a növényvédőszer veszélyességétől függően 20-500m-en belül nem folytatható.
(10) Hatályon kívül helyezte a 6/2016. (XII.30.) önkormányzati rendelet.
(11) Szalafő a nitrát szennyezéssel szemben érzékeny települések közé tartozik. Ebből következően a település teljes területén be kell tartani a rendeletben a trágyatárolásra, trágyakezelésre és a mezőgazdasági területek trágyázására, továbbá az erózióvédelemre és az öntözésekre vonatkozó jogszabályi előírásokat. (Módosította a 6/2016. (XII.30.) önkormányzati rendelet.)
(12) A felszíni vizek öntisztulásának elősegítése miatt a vízparti sávban a természetközeli gyep és ligetes fás társulások, természetközeli ökoszisztémák védelmét biztosítani kell.
(13) A hidrogeológiai védőövezetben és a vízbázis előzetesen lehatárolt hidrogeológiai védőterületén csak olyan tevékenység folytatható, amely a kitermelés előtt álló vagy a már kitermelt víz mennyiségét, minőségét és a kitermelési folyamatot nem veszélyezteti.
(14) A vízbázis védőterület által érintett ingatlanok területhasználataira a vonatkozó jogszabályok előírásai irányadók. (Módosította a 6/2016. (XII.30.) önkormányzati rendelet.)
(15) A beépítésre szánt terület szennyvizeit közcsatornába kell vezetni a mindenkori hatályos előírások határértékeinek betartásával.
(16) Hatályon kívül helyezte a 6/2016. (XII.30.) önkormányzati rendelet.
(17) Nem burkolt felületen hulladék, illetve útsózási és egyéb a talajra, felszín alatti vizekre potenciálisan káros hatású anyag ideiglenesen sem helyezhető el.
(18) Települési környezet átfogó védelme
A lakóterület védelme érdekében az alábbi ipari tevékenységek végzése lakóterületen nem engedélyezhető:
−Bőrfestő
−Fényező és mázoló
−Galvanizáló
−Mészégető
−Ónozó, ólmozó, ólómöntő, mártó
−Tímár
−Zománcozó
−Beton- és műkőkészítő
−Bútor- és épületasztalos
−Mészáros
−Kovács
−Műanyagfeldolgozó
−Műanyaghulladék darálás, darabolás
−Vegyi anyag készítő és előállító
Ez alól csak indokolt esetben, nagyságrendtől függően egyedi elbírálás alapján a szakhatóságok bevonásával adható felmentés, kivétel ez alól az egészségügyi, sport és oktatási intézmények 100m-es körzete, amelyen belüli felmentés nem adható meg.
Táj- és természetvédelem
24. § (1) Szalafő teljes igazgatási területe az Őrségi Nemzeti Park és a 037/10 hrsz kivételével az európai NATURA 2000 hálózat része, amelyen belül cél a biológiai sokféleség, a természetközeli állapot megőrzése, környezetkímélő gazdálkodás bevezetése. Területén mindennemű, a jelenlegi állapotot megváltoztató tevékenység engedélyezésénél a Környezetvédelmi, Természetvédelmi és Vízügyi Igazgatóság szakhatóságként közreműködik.
(2) A település és a környező irtványok kapcsolata, a Szalafőre különösen jellemző tájértéket képező szerek közötti átlátások és rálátások legalább jelenlegi minőségükben megőrzendők.
(3) Az igazgatási terület a belterület kivételével kiemelten fontos érzékeny természeti terület és tájképvédelmi terület övezetébe tartozik.
(4) A (3) pontban meghatározott területeken nem folytatható olyan tevékenység, illetve nem helyezhető el olyan létesítmény, amely a jelenlegi állapotot rontja, a meglévő növényállományt, ökoszisztémákat és egyéb természeti képződményeket veszélyezteti, a tájkép jellegét megváltoztatja. A kialakult tájhasználatot megváltoztatni kizárólag a természeti állapothoz közelítés érdekében szabad.
(5) Az igazgatási területen fellelhető még nem kataszterezett források országos természeti védelem alatt állnak. Szennyezésük, feltöltésük, eltömésük nem engedhető meg. A forrásokat és 50m-es körzetüket érintő mindennemű beavatkozás esetén a Környezetvédelmi Természetvédelmi és Vízügyi Igazgatóság hatósági jogkörrel rendelkezik.
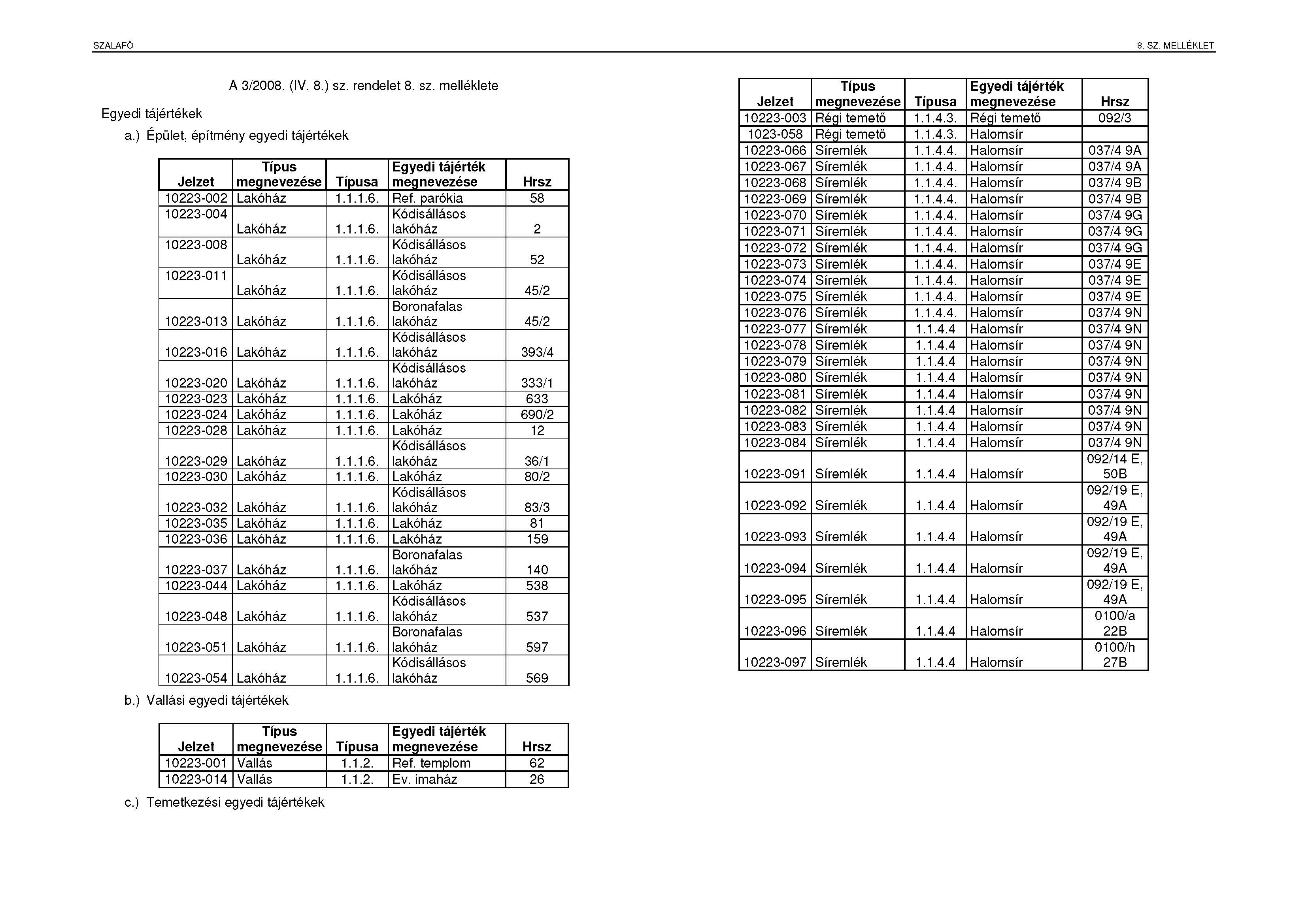
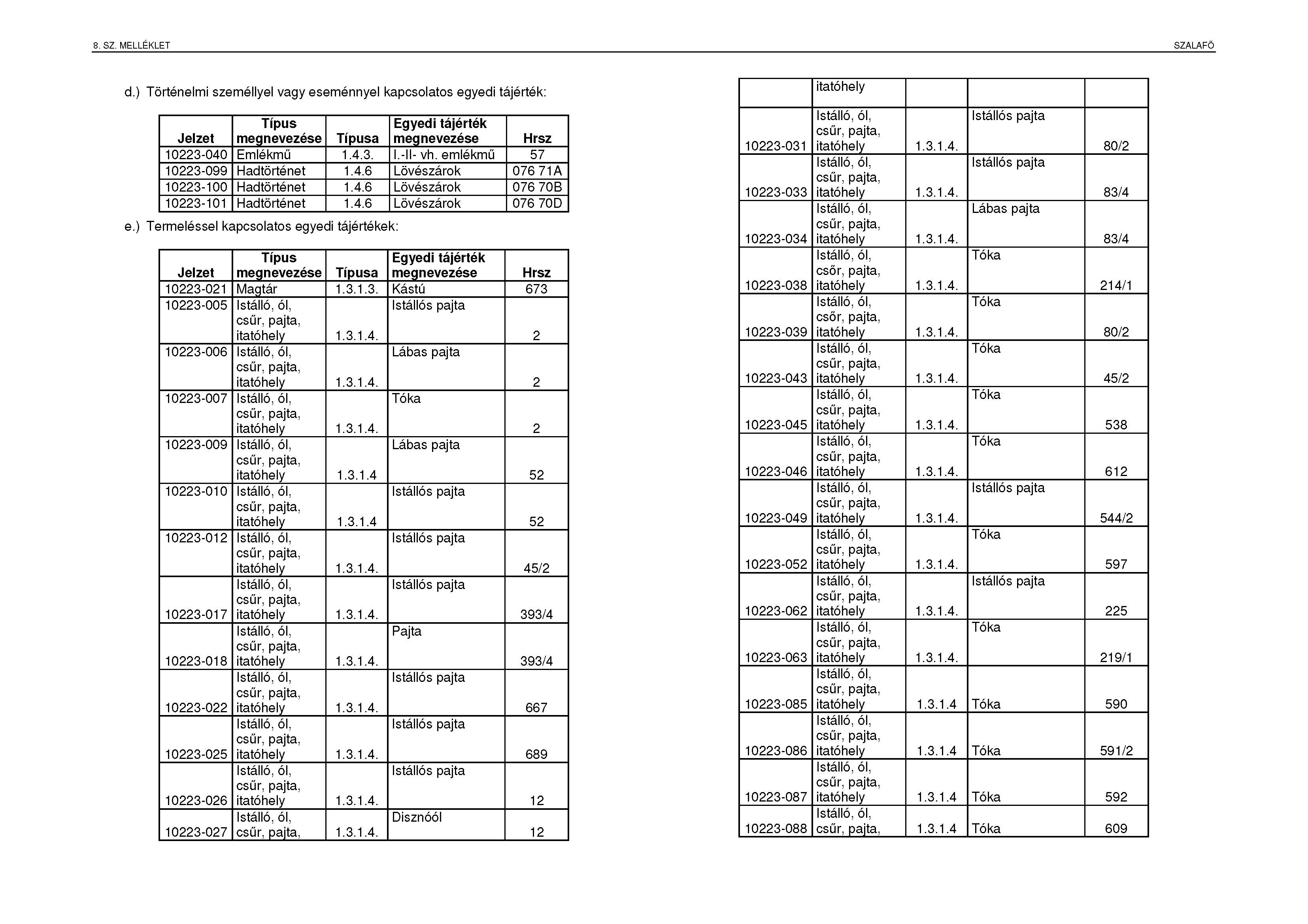
(6) Szalafő egyedi tájértékeinek jegyzékét e rendelet 8. sz. melléklete tartalmazza.
a) Épület, építmény, vallási és termeléssel kapcsolatos egyedi tájértékeket meg kell őrizni, esetükben a helyi építészeti értékvédelem előírásait kell alkalmazni.
b) Az egyéb besorolású tájértékek fennmaradásáról gondoskodni kell. A 092/3 hrsz-on található régi temető előírásairól e rendelet 16. §. (3) bekezdése rendelkezik.
−A temetkezési tájértékekhez tartozó, a nyilvántartott régészeti területeken található halomsírok esetében e rendelet 24. §. (2) bekezdése szerint kell eljárni. A nyilvántartott régészeti területeken kívül található halomsírok területén és az őket körülvevő 5m-es sávban talajbolygatással járó és erdőgazdálkodási tevékenység megkezdése előtt az illetékes örökségvédelmi hivatalt és a természetvédelmi hatóságot értesíteni kell.
−A Történelmi eseményekkel kapcsolatos egyedi tájértékekhez sorolt lövészárkok területén és a szomszédos 5m széles sávban tervezett földmunka és erdészeti gazdasági tevékenység megkezdése előtt az illetékes természetvédelmi hatóságot értesíteni kell
−A kutakat betömni, vizüket szennyezni nem lehet. A kutakra épített kútházak életveszélyessé válás esetén elbonthatók, de az eredeti állapot szerint visszaépítendők.
−A tájértékké nyilvánított facsoportok, nevezetes idős fák környezetében életkörülményeiket rontó tevékenység nem végezhető és csak abban az esetben vághatók ki, ha életveszélyességüket szakvélemény igazolja.
(7) Szélturbinák, átjátszó állomás, óriásplakátok Szalafő igazgatási területén nem helyezhetőek el. Kilátótornyok csak az egyes övezetekben meghatározott célra és feltételek szerint építhetők. Új energia és hírközlő vezetékek, ha más nyomvonal nem jelölhető ki, lehet_őség szerint a terepszint alatt vezetendők. A meglévők rekonstrukciója során vizsgálandó a föld alá helyezés lehetősége.
(8) A tervezett új létesítményeket megfelelően illesszék a kialakult tájképbe illetve táji környezetbe, figyelembe véve a településre jellemző hagyományos épület-elhelyezést, anyaghasználatot, tömegkialakítást.”
(9) A tervezett birtokközpont tervezését előzze meg részletes tájképi vizsgálat, az engedélyezési tervdokumentációnak legyen része a tájba illesztési terv, melynek sikeres megvalósítása a használatbavételi engedély kiadásának feltétele.
(10) A közösségi terek, épületek, létesítmények, ipari üzemek éjszakai megvilágításának tervezése, kialakítása az éjszakai életmódot folytató állatvilág védelmének figyelembe vételével történjen. (Megállapította a 6/2016. (XII.30.) önkormányzati rendelet.)
Régészet
25. § (1) Hatályon kívül helyezte a 6/2016. (XII.30.) önkormányzati rendelet.
(2) Régészeti érdekű területek az alábbiak:
Az ismert szalafői lelőhelyek a Zala völgyéből kiemelkedő magaslatokon, illetve a Pityerszeri-patak fölé emelkedő dombvonulaton helyezkednek el. Ezért ezek a jelenleg ismert lelőhelyeken kívül fekvő részeken is — a bel- és külterületen egyaránt — teljes egészükben régészeti érdekű területnek tekintendők. Ugyanez vonatkozik a jelenleg lelőhelymentes Felsőszeri-, Gyöngyösszeri- és Siskaszeri-patak mellékére is. A régészeti érdekű területeken tervezett munkálatok esetében még a tervezés fázisában az illetékes hivatalt véleményező szervként be kell vonni.
(3) Minden olyan esetben, amikor lelet vagy jelenség kerül elő, a területileg illetékes múzeumot és az illetékes hivatalt értesíteni kell.
(4) A nagy felületeket érintő beruházások előtt a Hivatal hatásvizsgálat készítését írhatja elő.
(5) A régészeti örökséget érintő kérdésekben a rendezési tervhez készített hatástanulmányban foglaltak az irányadóak.
Művi értékvédelem
26. § (1) Országos területi védelem:
Szalafő igazgatási területe műemléki jelentőségű terület.
a) Hatályon kívül helyezte a 6/2016. (XII.30.) önkormányzati rendelet.
b) A műemlékvédelmi követelmények érvényesülése érdekében az örökségvédelmi hatóság egyedi kikötéseket tehet.
(2) Országos egyedi védelem
a) Szalafő nyilvántartott műemlékei a következők:
−Lakóház és gazdasági épületek
9245, Vas, Szalafő, Alsószer 5. hrsz.: 125/2
−Lakóház
8068, Vas, Szalafő, Alsószer 11. hrsz.: 140
−Lakóház és gazdasági épületek
9246, Vas, Szalafő, Alsószer 23. hrsz.: 217
−Lakóház
9063, Vas, Szalafő, Alsószer 33. hrsz.: 89/2
−Lakóház és gazdasági épületek
9247, Vas, Szalafő, Csörgőszer 8 -10. hrsz.: 338
−Lakóház és gazdasági épületek
9248, Vas, Szalafő, Csörgőszer 15. hrsz.: 313
−Lakóház és gazdasági épületek
9249, Vas, Szalafő, Csörgőszer 16. hrsz.: 309/1
−Lakóház és melléképülete
10158, Vas, Szalafő, Felsőszer 1. hrsz.: 612
−Lakóház
9250, Vas, Szalafő, Felsőszer 5. hrsz.: 599
−Lakóház
8069, Vas, Szalafő, Felsőszer 14. hrsz.: 565
−Lakóház
9251, Vas, Szalafő, Gyöngyösszer 3. hrsz.: 286
−Lakóház és gazdasági épületek
9252, Vas, Szalafő, Papszer 1-1/a. hrsz.: 717, 718, 723
−Lakóház
8886, Vas, Szalafő, Papszer 2. hrsz.: 721
Múzeum, Visontai-féle lakóház és emeletes kástu
8071, Vas, Szalafő, Pityerszer 1-2. hrsz.: 524
−Múzeum, Zsoldos-féle kerített ház
8072, Vas, Szalafő, Pityerszer 3. hrsz.: 524
−Lakóház és gazdasági épületek
8160, Vas, Szalafő, Pityerszer 13. hrsz.: 485
−Lakóház
8073, Vas, Szalafő, Templomszer 11. hrsz.: 37
−Lakóház és gazdasági épületek
9253, Vas, Szalafő, Templomszer 12. hrsz.: 36/1
b) Hatályon kívül helyezte a 6/2016. (XII.30.) önkormányzati rendelet.
(3) Helyi egyedi védelem
a) A helyi egyedi védelem alatt álló épületek, építmények, létesítmények felsorolását a Rendelet 13. melléklete tartalmazza. (Módosította a 6/2016. (XII.30.) önkormányzati rendelet.)
b) A védett épület a gazdaságossági megfontolásokból nem, csak szakértői vélemény alapján életveszélyessé nyilvánítás esetén bontható el. Bontás előtt épület-felmérési rajz készítendő, amely alapján az épületet vissza kell építeni.
c) A helyi védelem alatt álló épületek felújítása, átalakítása esetén karakterük előnytelen megváltozását, általános esztétikai értékcsökkenést eredményező korábbi beavatkozások kijavítását a szakhatóságok előírhatják.
d) Kódisállásos és boronafalas lakóház külső arányrendszere, méretei vakolatdíszei felújítás, újraépítés esetén is megőrzendők. Tetőtere térdfal nélkül építhető be. A tetőtér bevilágításához síkban fekvő tetőablak alkalmazható, az oromfalon legfeljebb 90/60-as álló négyzetes ablak nyitható.
e) Hatályon kívül helyezte a 6/2016. (XII.30.) önkormányzati rendelet.
f) További előírások:
−klímaberendezés közterületről is látható egysége nem helyezhető el.
−csak látványt nem zavaró antenna, hírközlési egység telepíthető.
−a homlokzaton elhelyezendő mindenféle reklám engedélyköteles.
Különleges jogintézmények
27. § Közérdekű környezetalakítás (környezet, táj és településkép védelem) céljából a Szabályozási Terven körülhatárolt telekrészek esetében beültetési kötelezettség áll fenn. Az így lehatárolt területen ültetési terv alapján a Szerkezeti Terven jelöltek szerint zárt, vagy ligetes növényállomány alakuljon ki.
Védőterületek, védősávok
28. § (1) A vízfolyások partélétől számított 6 m-es sávot mederkarbantartás céljára szabadon kell hagyni, ezen túl a külterületen a partéltől számított 50,0-50,0 m-en építmény nem helyezhető el, valamint környezetkímélő mezőgazdasági termelést kell folytatni.
(2) Föld feletti szigetelt nagy- és kisfeszültségű vezeték biztonsági övezete minden irányban a vezeték szélső pontjától mért 0,5 m távolság.
(3) Az országos mellékutak védőtávolsága külterületen 50-50m.
(4) Szalafő község sérülékeny üzemelő ivóvízbázisának védőterülete által érintett területekre a vonatkozó jogszabályok előírásai irányadók. (Módosította a 6/2016. (XII.30.) önkormányzati rendelet.
28/A. §6 A Rendelet az alábbi mellékleteket tartalmazza:
a) 1. melléklet Új épületcsoport építési helyen belüli irányadó elrendezése M=1:200
b) 2. melléklet: A kódisállásos típus nyomán szerkesztett új lakóépület M=1:200
c) 3. melléklet Boronaház típus nyomán szerkesztett új lakóépület M=1:200
d) 4. melléklet Melléképületek M=1:200
e) 5. melléklet Falusias új épületcsoport M=1:200
f) 6. melléklet Falusias új kerített ház jellegű épületcsoport M=1:200
g) 7. melléklet Falusias új épületcsoport M=1:200
h) 8. melléklet Egyedi tájértékek
i) 9. melléklet A haszonállattartást szolgáló építmények elhelyezésénél, valamint az állattartás során alkalmazandó védőtávolságok lakó – üdülőépületektől
j) 10. melléklet A kereskedelmi. szolgáltató gazdasági terület építési övezeteinek építési előírásai
k) 11. melléklet A különleges terület építési övezeteinek építési előírásai
l) 12. melléklet A közúthálózat elemeinek kategorizálása, építési szélességek
m) 13. melléklet A helyi egyedi védelem alatt álló épületek, építmények, létesítmények
n) 14. melléklet Szabályozási terv, amely a következő tervlapokat tartalmazza:
na) Alsószer szabályozási terve, 4.2 rajzszám
nb) Templomszer szabályozási terve, 4.3 rajzszám
nc) Papszer szabályozási terve, 4.4 rajzszám
nd) Felsőszer szabályozási terve, 4.5 rajzszám
ne) Pityerszer szabályozási terve, 942-TR/2004 törzsszámú dokumentáció 4.6, rajzszám
nf) Csörgőszer és Gyöngyösszer szabályozási terve, 4.7 rajzszám
ng) Beépítésre szánt terület szabályozási terve – jelmagyarázat, 4.8 rajzszám
nh) Igazgatási terület szabályozási terve, 4.9 rajzszám „ (2) A különleges terület építési övezeteinek telekalakítási, építési előírásai című táblázat e rendelet 1., az 5.2 rajzszámú, Szalafő község Igazgatási terület Szabályozási Terve című tervlap e rendelet 2., az 5.3 rajzszámú, Szalafő Pityerszer Szabályozási terve című tervlap e rendelet 3. mellékletét képezi.
Záró rendelkezések
29. § (1) „E rendelet elfogadását követő 30. napon lép hatályba és a Szabályozási Terv 4.2, 4.3, 4.4, 4.5, 4.6, 4.7, 4.8 és 4.9 számú lapjaival együtt érvényes.”
(2) Az épületcsoport építési helyen belüli elrendezését ábrázoló 1sz., a javasolt épületarányokat ábrázoló 2, 3, 4, 5, 6 és 7sz.tervlapok, az egyedi tájértékeket felsoroló 8sz. táblázat, valamint a lakóépület és állattartó épület védőtávolságát szabályozó 9 sz. táblázat e rendelet mellékletét képezik.”
1. melléklet
1a. 
2. melléklet
1a. 
3. melléklet
1a. 
4. melléklet
1a. 
5. melléklet
1a. 
6. melléklet
1a. 
7. melléklet
1a. 
8. melléklet
1a. 
1b. 
1c. 
1d. 
9. melléklet
1a. 
10. melléklet
1a.
A |
B |
C |
D |
|||||||
|
beépítési mód |
a telek megengedett |
az épület megengedett |
|||||||
legkisebb |
legnagyobb |
legkisebb |
legnagyobb |
|||||||
területe |
zöldfelület aránya |
beépítettsége |
terepszint alatti beépítés |
|
||||||
m2 |
% |
% |
% |
m |
m |
|||||
1. |
Gksz1 |
SZ |
K |
50 |
15 |
15 |
3,0 |
4,5 |
||
2. |
Gksz2 |
SZ |
K |
50 |
A*1,03 |
A*1,03 |
K |
K |
||
3. |
Gksz3 |
SZ |
K |
50 |
K+120 m2 |
- |
K,4,0 |
K |
||
4. |
Gksz4 |
SZ |
1000 |
30 |
40 |
40 |
3,0 |
5,0 |
||
K = kialakult
A = jelenlegi bruttó épületterület
11. melléklet
1a. a
A |
B |
C |
D |
||||||
|
beépítési mód |
a telek megengedett |
az épület megengedett |
||||||
legkisebb |
legnagyobb |
legkisebb |
legnagyobb |
||||||
területe |
zöldfelület aránya |
beépítettsége |
terepszint alatti beépítés |
|
|||||
m2 |
% |
% |
% |
m |
m |
||||
1. |
Kr |
K |
K |
50 |
K |
- |
K |
K |
|
2. |
Kt |
SZ |
K |
- |
2 |
- |
3,0 |
4,0 |
|
3. |
Ksp |
SZ |
20 000 |
75 |
10 |
10 |
3,0 |
4,0 |
|
4. |
Klp |
SZ |
4000 |
40 |
11 |
11 |
- |
5,5 |
|
5. |
Kh |
SZ |
K |
40 |
30 |
30 |
3,0 |
4,0 |
|
6. |
Kfm |
SZ |
K |
50 |
30 |
30 |
2,7 |
4,0 |
|
7. |
Kj |
SZ |
810 |
20 |
5 |
- |
- |
5,0 |
|
12. melléklet
1a.
A |
B |
C |
D |
E |
F |
|
|---|---|---|---|---|---|---|
Út neve,hrsz |
Települési kategória |
Közúti kategória |
Jelenlegi telek közti szélesség (m) |
Szabályozási szélesség (m) |
Megjegyzés |
|
1 |
7455 j. Őriszentpéter-Máriaújfalu ök.út 0118,040/2 |
összekötő út |
K.V.A |
12,7-6,3 |
12,7-16,3 |
|
2 |
7455 j.út átkelési szakasz 113/1,691 |
B.IV.c.B |
8,4-12,7 |
10,0-12,7 |
||
3 |
74118 j Pityerszeri bk út belterületi szakasz 113/2,514 |
gyűjtőút |
B.V.c.B. |
8,4-11,3 (12,3) |
8,4-12,3 |
|
4 |
Szalafő-Kondorfa községközi út 0123/3,0123/1 |
tervezett |
K.VIII. |
16-17,5 |
16-17,5 |
|
5 |
Szalafő-Hodos községközi út 068 |
tervezett |
K.VIII. |
8,7-12,4 |
12,0-12,4 |
|
6 |
Alsószer 128 |
kiszolgáló út |
B.VI.d.C. |
2,2-4,4 |
6,5 |
|
7 |
Alsószer 137 |
kiszolgáló út |
B.VI.d.C. |
5,0-7,8 |
5,0-7,8 |
|
8 |
Alsószer 143 |
kiszolgáló út |
B.VI.d.C |
2,8-5,0 (4,4-6,0) |
4,4-6,0 |
|
9 |
Alsószer 156 |
kiszolgáló út |
B.VI.d.C |
2,2-4,1 (4,1-4,25) |
6,5 |
|
10 |
Alsószer 150 |
kiszolgáló út |
B.VI.d.C |
3,3-6,3 |
6,56,5-7,2 |
|
11 |
Alsószer 176 |
kiszolgáló út |
B.VI.d.C |
6,3-8,1 |
6,7-8,1 |
|
12 |
Alsószer 94 |
kiszolgáló út |
B.VI.d.C |
5,1-5,3 |
6,5 |
|
13 |
Alsószer 92 |
kiszolgáló út |
B.VI.d.C |
3,9 (5,6) |
6,5 |
|
14 |
Alsószer 79/2 |
kiszolgáló út |
B.VI.d.C |
12,1 |
12,1 |
|
15 |
Alsószer 231 |
kiszolgáló út |
B.VI.d.C |
5,6 |
6,5 |
|
16 |
Felsőszer 536 |
kiszolgáló út |
B.VI.d.C |
8,5 |
8,5 |
|
17 |
Felsőszer 580 |
kiszolgáló út |
B.VI.d.C |
4,6-7,4 |
67,2-7,4 |
|
18 |
Felsőszer 559 |
kiszolgáló út |
B.VI.d.C |
5,0 |
6,5 |
|
19 |
Felsőszer 595 |
kiszolgáló út |
B.VI.d.C |
3,8 |
6,5 |
|
20 |
Templomszer 60 |
kiszolgáló út |
B.VI.d.C |
4,3-7,3 |
7,2-7,3 |
|
21 |
Templomszer 49-a 60 hrsz-ú útig |
kiszolgáló út |
B.VI.d.C |
5,3-7,5 |
6,5-7,5 |
|
22 |
Templomszer 49 60 hrsz-ú úttól a 40 hrsz-ú útig |
kiszolgáló út |
B.VI.d.C |
5 |
7,2 |
|
23 |
Templomszer 40 |
kiszolgáló út |
B.VI.d.C |
5,0-5,5 |
7,2 |
|
24 |
Templomszer 16 a 13 hrsz telektől délre |
kiszolgáló út |
B.VI.d.C |
3,3-6,1 |
7,2 |
|
25 |
Templomszer 16 a 44 hrsz telek felé |
kiszolgáló út |
B.VI.d.C |
5,0 |
6,5 |
|
26 |
Templomszer 17 |
kiszolgáló út |
B.VI.d.C |
9,0 |
9,0 |
|
27 |
Templomszer 1 |
kiszolgáló út |
B.VI.d.C |
7,6 |
7,6 |
|
28 |
Templomszer 446 |
kiszolgáló út |
B.VI.d.C |
7,8 |
7,8 |
|
29 |
Gyöngyösszer KöKi1 |
tervezett kiszolgáló |
B.VI.d.C |
3-5,2 |
7,2 |
jelenleg egy része szolgalmi út |
30 |
Csörgőszer 264 |
kiszolgáló út |
B.VI.d.C |
8,0 |
8,0 |
|
31 |
Csörgőszer 265/1 |
kiszolgáló út |
B.VI.d.C |
8,0 |
8,0 |
|
32 |
Csörgőszer 092/10 |
kiszolgáló út |
B.VI.d.C |
5,9-7,5 |
7,2-7,5 |
|
33 |
Csörgőszer 265/3 |
kiszolgáló út |
B.VI.d.C |
8,5 |
8,5 |
|
34 |
Csörgőszer 336 |
kiszolgáló út |
B.VI.d.C |
4,2-6,5 |
6,5-7,2 |
|
35 |
Csörgőszer 294 |
kiszolgáló út |
B.VI.d.C |
8,4 |
8,4 |
|
36 |
Papszer 672 |
kiszolgáló út |
B.VI.d.C |
6,1 |
7,2 |
|
37 |
Papszer 719 |
kiszolgáló út |
B.VI.d.C |
4,1-5,0 |
7,2 |
|
38 |
Papszer 660 |
kiszolgáló út |
B.VI.d.C |
4,9-6,9 (7,0) |
7,2 |
|
39 |
Papszer 654 |
kiszolgáló út |
B.VI.d.C |
3,2-5,2 |
6,5 |
|
40 |
Pityerszer 493 |
kiszolgáló út |
B.VI.d.C |
4,6-7,8 |
6,5-7,8 |
|
41 |
Pityerszer 504 |
kiszolgáló út |
B.VI.d.C |
4,0 |
6,5 |
|
42 |
Felsőszer 533/2 KöGya2 |
tervezett gyalogút |
B.X. |
5,9 |
5,9 |
|
43 |
Pityerszer 514 KöGya2 |
tervezett gyalogút |
B.X. |
4,7 |
4,7 |
|
44 |
Felső és Papszer között 654 hrsz+új KöGya 3 |
tervezett gyalogút |
B.X. |
6,3 |
3-6,3 |
|
45 |
Templomszer és Csörgőszer között 446 és 336 hrsz KöGya 4 |
tervezett gyalogút |
B.X. |
4,8-7,3 |
4,8-7,3 |
|
46 |
Pityer és Csörgőszer között 504 és 068 út között KöGya 5 |
tervezett gyalogút |
B.X. |
új nyomvonal |
3,0 |
|
47 |
Pap és Templomszer között 016 és 17 hrsz között KöGya6 |
tervezett gyalogút |
B.X. |
5,8 |
3-5,8 |
1b. Egyéb utak
A |
B |
C |
D |
|
|---|---|---|---|---|
Út neve,hrsz |
Települési kategória |
Közúti kategória |
Jelenlegi szélesség |
|
1 |
05 |
egyéb közút |
B.VIII. |
3,9 |
2 |
07 |
egyéb közút |
B.VIII. |
5,7 |
3 |
09 |
egyéb közút |
B.VIII. |
11,7 |
4 |
011/2 |
egyéb közút |
B.VIII. |
5,4 |
5 |
014 |
egyéb közút |
B.VIII. |
6,3 |
6 |
016 |
egyéb közút |
B.VIII. |
5,8 |
7 |
018 |
egyéb közút |
B.VIII. |
|
8 |
019 |
egyéb közút |
B.VIII. |
8,1 |
9 |
023 |
egyéb közút |
B.VIII. |
3,2-4,4 |
10 |
026 |
egyéb közút |
B.VIII. |
6,2 |
11 |
029 |
egyéb közút |
B.VIII. |
7,1 |
12 |
031 |
egyéb közút |
B.VIII. |
6 |
13 |
035 |
egyéb közút |
B.VIII. |
6,1 |
14 |
036 |
egyéb közút |
B.VIII. |
5,4 |
15 |
039 |
egyéb közút |
B.VIII. |
5,3 |
16 |
040/1 |
egyéb közút |
B.VIII. |
8,2 |
17 |
041/2 |
egyéb közút |
B.VIII. |
8,3 |
18 |
041/4 |
egyéb közút |
B.VIII. |
8,5-13,4 |
19 |
045 |
egyéb közút |
B.VIII. |
8,7-9,9 |
20 |
047 |
egyéb közút |
B.VIII. |
5,6-5,9 |
21 |
051/5 |
egyéb közút |
B.VIII. |
5,3 |
22 |
052 |
egyéb közút |
B.VIII. |
5,9 |
23 |
058 |
egyéb közút |
B.VIII. |
6,7 |
24 |
064/3 |
egyéb közút |
B.VIII. |
7,9 |
25 |
066 |
egyéb közút |
B.VIII. |
6,7 |
26 |
068 |
egyéb közút |
B.VIII. |
8,7-12,4 |
27 |
078 |
egyéb közút |
B.VIII. |
7,9 |
28 |
080 |
egyéb közút |
B.VIII. |
6,4 |
29 |
082 |
egyéb közút |
B.VIII. |
5,5 |
30 |
085 |
egyéb közút |
B.VIII. |
5,3 |
31 |
087 |
egyéb közút |
B.VIII. |
4,5-9 |
32 |
091 |
egyéb közút |
B.VIII. |
7,8-11 |
33 |
092/1 |
egyéb közút |
B.VIII. |
8,8 |
34 |
092/2 |
egyéb közút |
B.VIII. |
10,3 |
35 |
092/8 |
egyéb közút |
B.VIII. |
6,1 |
36 |
092/10 |
egyéb közút |
B.VIII. |
7,5 |
37 |
099 |
egyéb közút |
B.VIII. |
9 |
38 |
0106 |
egyéb közút |
B.VIII. |
5,6 |
39 |
0108 |
egyéb közút |
B.VIII. |
5-12,0 6,5-12,0 |
40 |
0110/1 |
egyéb közút |
B.VIII. |
7,4 |
41 |
0118 |
egyéb közút |
B.VIII. |
14,3 |
42 |
0120 |
egyéb közút |
B.VIII. |
5,3 |
43 |
0122 |
egyéb közút |
B.VIII. |
5,4 |
44 |
0125/3 |
egyéb közút |
B.VIII. |
2,2-4,3 |
45 |
0127 |
egyéb közút |
B.VIII. |
12 |
46 |
0132 |
egyéb közút |
B.VIII. |
7,5 |
47 |
0135 |
egyéb közút |
B.VIII. |
6,1 |
48 |
0137 |
egyéb közút |
B.VIII. |
16,9 |
49 |
0144 |
egyéb közút |
B.VIII. |
6,7 |
50 |
0148 |
egyéb közút |
B.VIII. |
5,1-5,5 |
51 |
0153/10 |
egyéb közút |
B.VIII. |
5,9-10,6 |
52 |
0157 |
egyéb közút |
B.VIII. |
5,9 |
53 |
0158/3 |
egyéb közút |
B.VIII. |
5,6 |
54 |
0162 |
egyéb közút |
B.VIII. |
6,5 |
55 |
0163 |
egyéb közút |
B.VIII. |
6,8 |
56 |
0167/1 |
egyéb közút |
B.VIII. |
6,4 |
57 |
0167/2 |
egyéb közút |
B.VIII. |
9,2 |
58 |
0173 |
egyéb közút |
B.VIII. |
8,4 |
13. melléklet8
14. melléklet
A 13. § (3) bekezdését a Szalafő Község Önkormányzata Képviselő-testületének 2/2021. (I. 29.) önkormányzati rendelete 6. § a) pontja hatályon kívül helyezte.
A 14. § a Szalafő Község Önkormányzata Képviselő-testületének 2/2021. (I. 29.) önkormányzati rendelete 1. §-ával megállapított szöveg.
A 19. § (8) bekezdése a Szalafő Község Önkormányzata Képviselő-testületének 2/2021. (I. 29.) önkormányzati rendelete 2. §-ával megállapított szöveg.
A 20. § a Szalafő Község Önkormányzata Képviselő-testületének 2/2021. (I. 29.) önkormányzati rendelete 3. §-ával megállapított szöveg.
A 21. §-t a Szalafő Község Önkormányzata Képviselő-testületének 2/2021. (I. 29.) önkormányzati rendelete 6. § b) pontja hatályon kívül helyezte.
A 28/A. §-t a Szalafő Község Önkormányzata Képviselő-testületének 2/2021. (I. 29.) önkormányzati rendelete 4. §-a iktatta be.
A 11. melléklet címe a Szalafő Község Önkormányzata Képviselő-testületének 2/2021. (I. 29.) önkormányzati rendelete 5. §-ával megállapított szöveg.
A 13. mellékletet a Szalafő Község Önkormányzata Képviselő-testületének 2/2021. (I. 29.) önkormányzati rendelete 6. § c) pontja hatályon kívül helyezte.