Magyarnándor Önkormányzat Képviselő-testületének 6/2016. (V.26.) önkormányzati rendelete
A Magyarnándor Község Önkormányzata Képviselő-testületének az önkormányzati vagyonról és a vagyonnal való gazdálkodás egyes szabályairól szóló 4/2013 (IV.12.) önkormányzati rendeletének módosításáról
Hatályos: 2016. 05. 27- 2016. 05. 27Magyarnándor Önkormányzat Képviselő-testületének 6/2016. (V.26.) önkormányzati rendelete
A Magyarnándor Község Önkormányzata Képviselő-testületének az önkormányzati vagyonról és a vagyonnal való gazdálkodás egyes szabályairól szóló 4/2013 (IV.12.) önkormányzati rendeletének módosításáról1
Magyarnándor Község Önkormányzatának Képviselő-testülete Magyarország Alaptörvénye 32. cikk (1) bekezdés a.) pontjában, valamint a helyi önkormányzatok és szerveik, a köztársasági megbízottak, valamint egyes centrális alárendeltségű szervek feladat- és hatásköréről szóló 1991. évi XX törvény (a továbbiakban: Htv.) 138. §.(1) bekezdés j.) pontjában kapott felhatalmazás alapján az alábbi rendeletet alkotja:
1. § Magyarnándor Község Önkormányzata Képviselő-testületének Az önkormányzati vagyonról és a vagyonnal való gazdálkodás egyes szabályairól szóló 4/2013 (IV.12.)önkormányzati rendeletének 1-4 számú mellékleteinek helyébe e rendelet 1-4 számú mellékletei lépnek.
2. § E rendelet a kihirdetést követő napon lép hatályba.
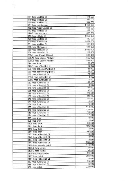
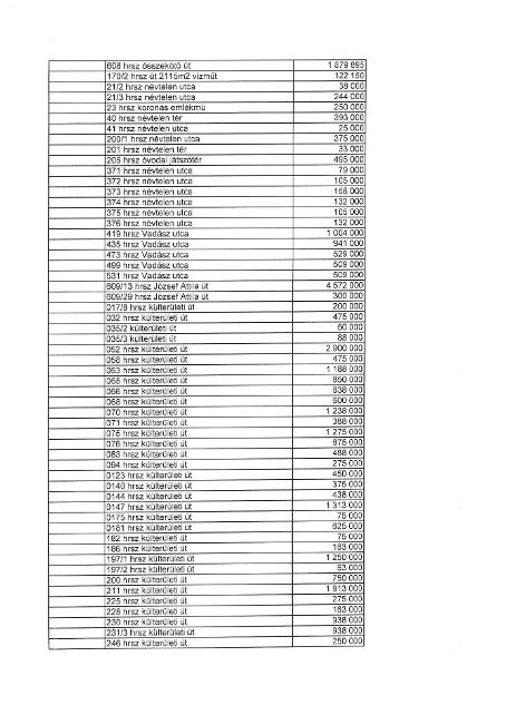
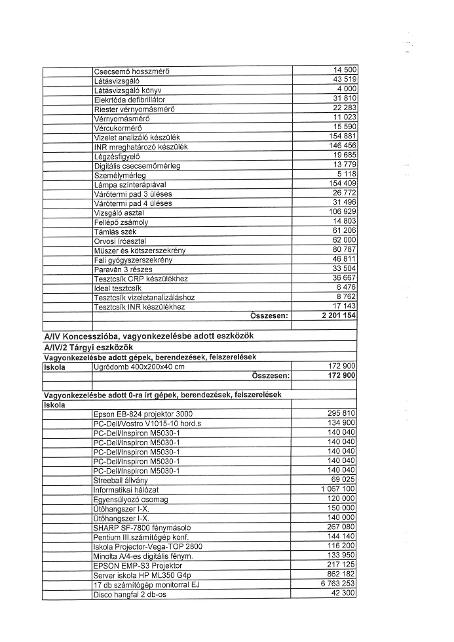
1. melléklet




2. melléklet

3. melléklet





4. melléklet
A rendelet a 2010. évi CXXX. törvény 12/B. §-a alapján hatályát vesztette 2016. május 28. napjával.