Kovácsvágás Község Önkormányzat Képviselő-testülete 11/2004. (VII. 8.) önkormányzati rendelete
Kovácsvágás Községi Önkormányzat Képviselő-testületének 11/2004. (VII.08.) rendelete az önkormányzat vagyonáról és a vagyongazdálkodás szabályairól
Hatályos: 2021. 02. 13Kovácsvágás Község Önkormányzat Képviselő-testülete 11/2004. (VII. 8.) önkormányzati rendelete
Kovácsvágás Községi Önkormányzat Képviselő-testületének 11/2004. (VII.08.) rendelete az önkormányzat vagyonáról és a vagyongazdálkodás szabályairól
A képviselő-testület a helyi önkormányzatokról szóló, többször módosított 1990. évi LXV. törvény (továbbiakban: Ötv.) 16. § (1) bekezdésében kapott felhatalmazás alapján - figyelemmel az Ötv. 79-80. §-aiban, továbbá az államháztartásról szóló, módosított 1992. évi XXXVIII. törvény (továbbiakban: Ahtv.) 108-109. §-aiban foglaltakra — Kovácsvágás Község Önkormányzatának vagyonáról, és a vagyongazdálkodás szabályairól az alábbi rendeletet alkotja.
I. Általános rendelkezések
1 § E rendelet hatálya kiterjed:
- a) a községi önkormányzatra, annak szerveire, továbbá az önkormányzat által alapított és tulajdonosi irányítása alatt működő költségvetési szervekre (a továbbiakban: intézmények);
- b) mindazokra a dolgokra, melyek községi önkormányzat tulajdonában vannak, így az ingatlan és ingó dolgokra, vagyoni értékű jogokra, a gazdasági és közhasznú társaságokban az önkormányzatot megillető részesedésekre, valamint az értékpapírokra (a továbbiakban: önkormányzati vagyon).
Az önkormányzati vagyon
2 § (1) Az önkormányzat vagyona törzsvagyonból és üzleti vagyonból áll. A törzsvagyon forgalomképesség szempontjából forgalomképtelen törzsvagyonból és korlátozott forgalomképes vagyonból áll.
(2) A forgalomképtelen törzsvagyon a 2011. évi CXCVI törvény által kizárólagos önkormányzati tulajdonban álló vagyonnak minősített vagyonelem, valamint az önkormányzat rendelete alapján nemzetgazdasági szempontból kiemelt jelentőségű nemzeti vagyon. Korlátozottan forgalomképes vagyonba tartoznak azon vagyonelemek, amelyek nem képezik a forgalomképtelen törzsvagyon és az üzleti vagyon részét. Az üzleti vagyonba forgalomképes vagyonelemek tartoznak.
(5) Az önkormányzat kizárólagos tulajdonát képező nemzeti vagyonba tartoznak:
a) a helyi közutak és műtárgyaik,
b) az önkormányzat tulajdonában álló terek és parkok
c) az önkormányzat tulajdonában álló – külön törvény rendelkezései alapján részére átadott- vizek, közcélú vízi létesítmények, ide nem értve a vízi közműveket.
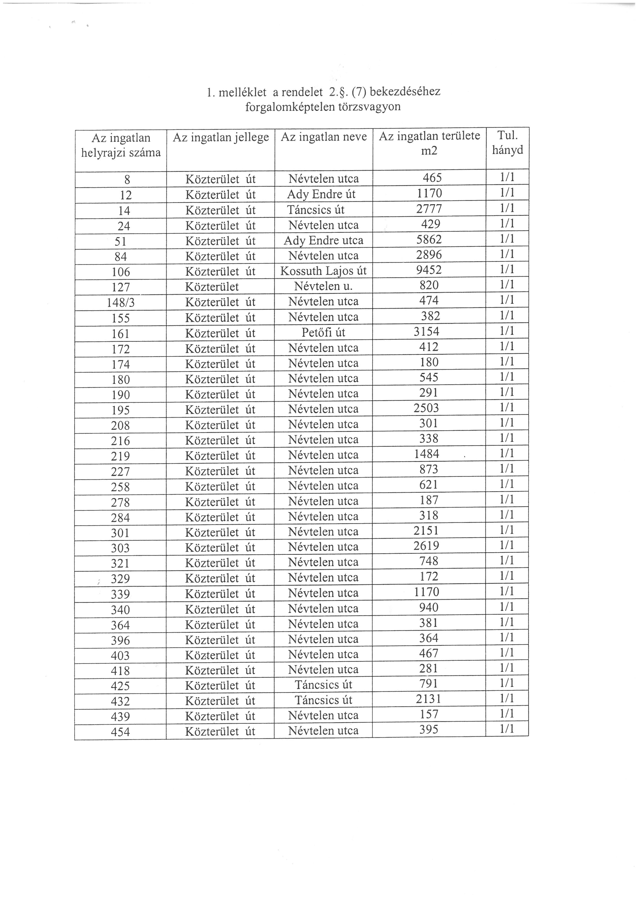
(6) Nemzetgazdasági szempontból kiemelt jelentőségű nemzeti vagyont az önkormányzat forgalomképtelennek minősülő vagyonából nem kerül meghatározásra. Az önkormányzat törzsvagyonához tartozó forgalomképtelen vagyont az 1. melléklet tartalmazza.
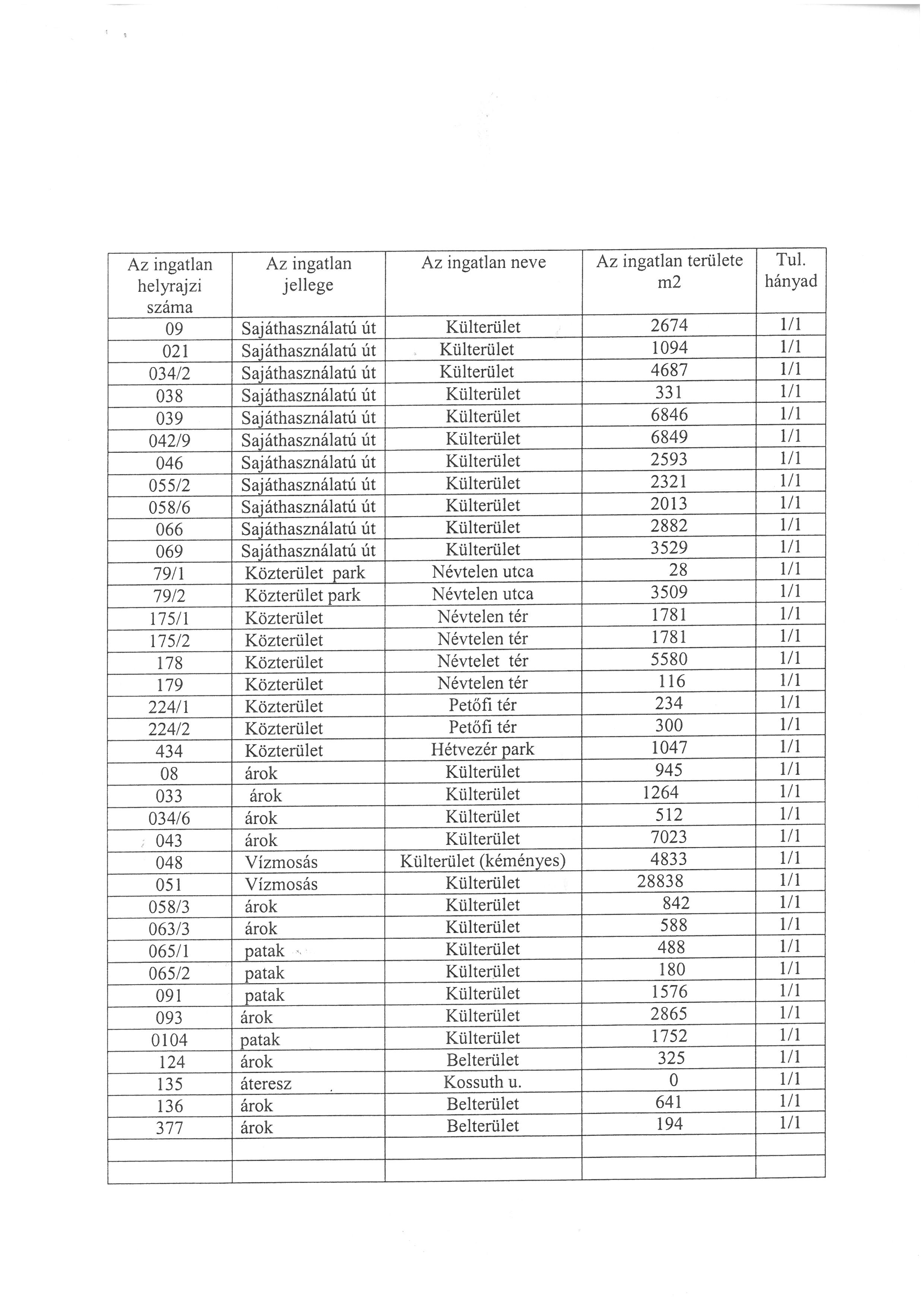
(7) Korlátozottan forgalomképes törzsvagyon körébe tartozó – kötelező, vagy vállalt önkormányzati feladatok ellátását vagy hatáskör gyakorlását szolgáló – vagyontárgyakat a 2. melléklet tartalmazza.
(8) A törzsvagyonba nem tartozó vagyonelem az üzleti agyon körébe tartoznak. Az üzleti vagyonhoz tartozó vagyonelemeket a 3. melléklet tartalmazza.
A vagyontárgy forgalomképességének változtatása átminősítéssel
(1) A tulajdonosi jogokat gyakorló szerv indokolt esetben dönthet a vagyonkimutatás szerinti besorolásának megváltoztatásáról, ha jogszabály eltérően nem rendelkezik. (2) Önkormányzati alapfeladat ellátásához szükséges korlátozottan forgalomképes ingatlan forgalomképessé akkor nyilvánítható, ha e feladat ellátását más helyen, más módon az önkormányzat meg tudja oldani.
(3) Az önkormányzati költségvetési szervek használatában lévő, a költségvetési szerv alaptevékenysége ellátásához nem szükséges vagy véglegesen feleslegessé váló vagyon tekintetében a tulajdonosi jogokat gyakorló szerv dönt a költségvetési szerv alapító okiratának megfelelő módosításával arról, hogy a vagyontárgyat kivonja a költségvetési szerv használatából és forgalomképes vagyoni körbe sorolja, ezzel biztosítva a vagyon vállalkozói célú, használatát hasznosítását.
(4) A (3) bekezdésben nevesített vagyon értékesítését megelőzően a vagyont a korlátozottan forgalomképes vagyoni körből a forgalomképes vagyonkörbe kell besorolni.
( 5) Jogutód nélkül megszűnő intézmények esetében az önkormányzat tulajdonába kerülő vagyon tekintetében az egyes ingatlanokat — jogutód nélküli megszűnés napjával egyidejűleg minősíteni kell, meghatározva azt, hogy az önkormányzat törzsvagyonába ( forgalomképtelen, korlátozottan forgalomképes ) vagy forgalomképes vagyoni körbe kerül besorolásra.
4 § Vagyonnyilvántartás és leltár
(1) Az önkormányzat vagyonáról a mindenkor hatályos jogszabályok előírásainak megfelelő nyilvántartásokat kell vezetni.
(2) Az önkormányzat Képviselő-testülete részére a zárszámadáshoz csatolt vagyonkimutatást az államháztartás szervezeti beszámolási és könyvvezetési kötelezettségének sajátosságairól szóló 249/2000 (XII.24.) Korm. rendelet 44/A § (2) bekezdésében meghatározott szerkezetben kell elkészíteni, azt tovább nem kell részletezni.
II. Az önkormányzati vagyon feletti rendelkezési jog gyakorlásának közös szabályai a tulajdonosi jogok gyakorlása
5. § (1) A tulajdonosi jogokat a képviselő-testület gyakorolja, a tulajdonjog egyes részjogosítványaikat gyakorlásával szerveit és az önkormányzati vagyonkezelőket e rendelet szerint bízza meg.
(2) Önkormányzati vagyont más jogi szermély, jogi személyiséggel nem rendelkező gazdálkodó szervezet vagy magánszemély akkor kezelhet, ha a tulajdonosi jogok gyakorlója az erre irányuló szerződésben a tulajdonosi jogok egészének vagy egy részének gyakorlásával megbízza.
(3) Önkormányzati vagyonkezelő szervek: az önkormányzat intézményei, gazdasági és közhasznú társaságai, az önkormányzat hivatala.
(4) A vagyonkezelő szerv a kezelésében, használatában lévő önkormányzati vagyonnal – az önkormányzat kötelező feladatainak sérelme nélkül – a törvények, és e rendelet kereti között gazdálkodik.
(5) Az önkormányzat a tulajdonában lévő vagyontárgyak hasznosítására, üzemeltetésére, tovább az önkormányzat tulajdonába kerülő vagyontárgyak létesítésére gazdasági társaságot alapíthat, illetve vagyonát gazdasági társaságban hasznosíthatja.
(6) Amennyiben az önkormányzat olyan gazdasági társaságot alapít vagy abba tagként részvényesként belép, amelynek tevékenysége az önkormányzat ellátási felelősségi körébe tartozik, az önkormányzat, illetve több önkormányzat esetén az önkormányzatok együttes tulajdonosi tag szavazati aránya 51%-nál kevesebb nem lehet.
(7) Az önkormányzat által alapított gazdasági társaságokban a tulajdonosi jogosítványokat a képviselő-testület nevében a polgármester gyakorolja. Attól eltérni csak a képviselő-testület nyilatkozatával lehet.
(8) Az önkormányzat kültagként saját nevének betéti társaság, ég nevében történő feltüntetéséhez nem járul hozzá.
(9) Az önkormányzati törzsvagyon állagának megőrzéséről, üzemeltetéséről a képviselő-testület a polgármesteri hivatal, a gazdasági ellátó szervezet, az önkormányzat intézményei, illetőleg e vagyontárgyakat üzemeltető gazdasági társaságok útján gondoskodik.
(10) A korlátozottan forgalomképes vagyontárgyak hasznosítására irányuló jogügyletek megkötése esetén a jognyilatkozat megtételére jogosult személy köteles a szerződésben foglaltak teljesítését folyamatosan figyelemmel kísérni.
Az önkormányzati vagyon hasznosításának nyilvánossága
6. § [1] (1) Az önkormányzati vagyont 9.000.000,-Ft értékhatár felett értékesíteni, a vagyon használatát, illetve a hasznosítás jogát átengedni csak nyilvános (indokolt esetben zártkörű) versenytárgyalás útján a legjobb ajánlatot tevő részére lehet.
(2) Az ingatlan nyilvános értékesítésére, hasznosítására irányuló döntés alapján a polgármesteri hivatal ingóság nyilvános értékesítésére, hasznosítására irányuló döntés alapján a vagyonkezelő szerv feladata a versenytárgyalás lebonyolítása. A szerződés megkötésére a polgármester jogosult. Az önkormányzat pénzügyi bizottsága ellenőrzi a nyilvános értékesítést, hasznosítást.
Az önkormányzati vagyon értékének meghatározása
7. § (1) A vagyon értékének megállapítására általában a nyilvántartási érték az irányadó.
(2) Értékestéskor a vagyon értékét az alábbiak szerint kell megállapítani:
a) értékpapír esetén a névérték alapján
b) egyéb ingó és ingatlan vagyon esetén 6 hónapnál nem régebbi értékbecslés alapján
(3) Ha a szerződés tárgya több vagyontárgy (vagyontömeg) a rendelet értékhatárra vonatkozó rendelkezéseinek alkalmazásakor a vagyontárgyak együttes értéke az irányadó.
(4) Örökölt vagyon esetén a hagyatéki eljárás során megállapított értéket kell a vagyon értékének tekinteni, amennyiben az adó –és értékbizonyítvány 6 hónapnál régebbi.
Eljárás a tulajdonos képviseletében
8. § Az önkormányzati vagyon érintő hatósági eljárásban a tulajdonost megillető nyilatkozattételi jogot, továbbá a közigazgatási és bírósági eljárásban az ügyfél jogát a polgármester gyakorolja. Az önkormányzat jogi képviseletének biztosításáról a polgármester gondoskodik.
Az önkormányzati vagyon ingyenes vagy kedvezmények átruházása, követelés elengedése
9. § (1) Az önkormányzati vagyont ingyenesen vagy kedvezményesen átruházni - a törvényben meghatározott eseteken kívül – a következő célra lehet:
- a) meghatározott céllal más önkormányzatnak
- b) kötelezettség vállalással közérdekű célra
- c) közalapítvány javára alapítvány rendeléssel
- d) közösségi célra alapítványi hozzájárulással
(2) Az önkormányzat és szerve csak az alábbi esetekben mondhat le részben vagy egészben követeléséről:
a) csődegyezségi megállapodásban
b) bírói egyezség keretében
c) felszámolási eljárás során, ha felszámoló által írásban adott nyilatkozat alapján az várhatóan nem térül meg
d) a végrehajtás során nem vagy csak részben térül meg
e) ha a követelés igazoltan csak veszteséggel (aránytalan költségráfordítással) érvényesíthető
f) kötelezettje nem lelhető fel és ez dokumentumokkal hitelt érdemlően bizonyított.
A felajánlott vagyon elfogadása
10. § (1) Ha a vagyonról az önkormányzat javára lemondtak, ezt a lemondásban megnevezett vagyonkezelő elfogadhatja, feltéve, hogy képes az azzal járó kötelezettségek teljesítésére.
(2) Az önkormányzat részére egymillió forint értékhatár felett ellenérték nélkül felajánlott vagyon elfogadásához szükség van a képviselő-testület jóváhagyására.
Rendelkezés az önkormányzati vagyonnal
11. § A képviselő-testület hatáskörébe tartoznak az alábbi vagyonhasznosításra vonatkozó döntések, értékhatártól függetlenül::
- a) az önkormányzat tulajdonát képező vagyontárgyaknak az önkormányzati vagyon részeibe való besorolása
- b) ingatlan vásárlása, cseréje, értékesítésre történő kijelölése,
- c) gazdasági és közhasznú társaságokban fennálló részesedéseinek értékesítésre történő kijelölése, valamint pénzbeli és apport befektetése társaságokba
- d) hitel felvétele, illetve annak felvételéhez vagyoni fedezet biztosítékul nyújtása,
- e) kötvény, váltó kibocsátása és elfogadása
- f) kezesség vállalása, egy évet meghaladó lejáratú értékpapír vásárlása
- g) gazdasági és közhasznú társaság alapítása
- h) társadalmi szervezet, alapítvány létrehozásának engedélyezése, társadalmi szervezethez alapítványhoz való csatlakozás, hozzájárulás, azok támogatása
- i) ingatlan vásárlás
- j) behajthatatlan követelések törlés.
12. § (1) Az önkormányzati vagyonra vonatkozó egyéb döntések értékhatártól függően az önkormányzat és szervei, valamint a vagyonkezelők hatáskörébe tartoznak.
(2) A képviselő-testület hatáskörébe tartozik:
a) 500.000,-Ft feletti vagyontárgy vásárlása
b) 500.000,-Ft értékhatár felett a vagyontárgy értékesítése, a vagyon használatának, illetve a hasznosítás jogának átengedése, cseréje, biztosítékul adása és egyéb módon való megterhelése
(3) A pénzügyi bizottság hatáskörébe tartozik:
a) az önkormányzati vagyon nyilvános értékesítésének, hasznosításának ellenőrzése
b) a biztosítási szerződések megkötésének véleményezése
(4) A vagyonkezelő szervezet vezetőjének hatáskörébe tartozik:
a) a közszolgáltatáshoz nélkülözhető vagyon – két évet meg nem haladó – határozott időtartamú bérbeadás útján történő hasznosítása,
b) a használatában, kezelésében lévő, 500.000,-Ft értéket meg nem haladó ingó vagyontárgyak, vagyonértékű jog stb. értékesítése, a vagyon használatának, illetve a hasznosítás jogának átengedése, cseréje, biztosítékul adása és egyéb módon való megterhelési, illetve 500.000,-Ft-ot meg nem haladó értékig ingóságok vásárlása.
c) 30.000,-Ft – a számviteli szabályok szerint számított – egyedi értéket meghaladó elavult ingóságok értékesítése
(5) A polgármester jogosult:
a) a hatáskörrel rendelkező szerv döntése alapján a vagyonhasznosítási jogügyletek megkötésére
b) megkötni a nem intézményi használatban lévő bérleti szerződéseket
c) megkötni – a gazdasági és vagyonbizottság véleményének figyelembevételével – a biztosítási szerződéseket.
III. Záró rendelkezések
13. § (1) E rendelet a kihirdetés napján lép hatályba. Kihirdetéséről a körjegyző gondoskodik. A rendelet kihirdetésre került 2004.07.08-án.
(2) E rendeletben foglalt szabályokat kell alkalmazni az ingó dolgok selejtezése tekintetében a tulajdonosi jogok gyakorlójának meghatározásakor.
(3) E rendelet alkalmazásában:
1. Helyi közút: a községi önkormányzat tulajdonában lévő gyalogos- és járműközlekedésre szolgáló közterület
2. Helyi közút műtárgya: a híd, hajóhíd, felüljáró, áteresz, alagút, aluljáró, támfal, bélésfal, az út víztelenítését szolgáló burkolt árok, csatorna vagy más vízelvezető létesítmény
3. Helyi közút tartozéka: közúti közlekedésről szóló 1988. évi I. törvény 47. § k) pontjában meghatározottak azzal, hogy az útfenntartási és közlekedésbiztonsági célokat szolgáló műsz6aki és egyéb létesítményeket, berendezéséket, kábel és védőcsőhálózatokat is érteni kell.
4. Hitelviszonyt megtestesítő értékpapír: az átváltoztatható kötvény kivételével a kötvény, a váltó, a kincstárjegy, a letéti jegy, és minden olyan egyéb értékpapír, amelyben a kibocsátó feltétlen és egyoldalú kötelezettséget vállal arra, hogy az értékpapíron megjelölt összeget, valamint annak esetleges kamatát és/vagy egyéb járulékait az értékpapír birtokosa/tulajdonosa részére az értékpapíron megjelölt időpontban megfizeti.
5. Kedvezményes átruházás: a rendelet alkalmazásában kedvezményes átruházásnak minősül a vagyon olyan értéken történő átruházása, mely egyébként a polgári jogi szabályok szerint a szerződés feltűnő értékaránytalanság címen történő megtámadását tenné lehetővé.
6. Középület: a Községi Önkormányzat és szervei elhelyezésére szolgáló ingatlan
(4) Ha a közbeszerzési eljárás során megszerezni kívánt vagyontárgy vagy a közbeszerzési eljárásban az ajánlatkérő által ellenértékként adott vagyontárgy feletti rendelkezési jog jogosultjaként e rendelet nem – a közbeszerzési eljárás egyes kérdéseiről szóló 6/2001. (III.14.) Főv. Kgy. rendelet szerint – az ajánlatkérő nevében eljáró személyt nevezi meg, akkor az e rendelet szerint döntésre jogosult előzetes egyetértési jogot gyakorol a benyújtott ajánlattal kapcsolatban, és a vagyontárgy felett a rendelkezési jogot a főpolgármester gyakorolja.
1. melléklet


2. melléklet
