Monor Város Önkormányzat Képviselő-testülete 11/2021. (V.28.) önkormányzati rendelete
Az Önkormányzat 2020. évi költségvetésének végrehajtásáról
Hatályos: 2021. 05. 29- 2023. 01. 31Monor Város Önkormányzat Képviselő-testülete 11/2021. (V. 28.) önkormányzati rendelete
Az Önkormányzat 2020. évi költségvetésének végrehajtásáról
Monor Város Önkormányzatának Képviselő-testületének hatáskörében eljáró Monor Város Polgármestere a Kormány 27/2021. (I. 29.) Korm. rendeletével elrendelt veszélyhelyzet miatt alkalmazandó a katasztrófavédelemről és a hozzá kapcsolódó egyes törvények módosításáról szóló 2011. évi CXXVIII. törvény 46. § (4) bekezdésében biztosított jogkörében az Alaptörvény 32. cikk (2) bekezdésében meghatározott eredeti jogalkotói hatáskörében, az Alaptörvény 32. cikk (1) bekezdés f) pontjában, valamint a helyi önkormányzatok és szerveik, a köztársasági megbízottak, valamint egyes centrális alárendeltségű szervek feladat- és hatásköreiről szóló 1991. évi XX. törvény 138. § (1) bekezdés b.) pontjában meghatározott feladatkörében eljárva, a Magyarország 2020. évi központi költségvetéséről szóló 2019.évi LXXI. törvény (továbbiakban: költségvetési törvény), valamint az államháztartásról szóló törvény végrehajtásáról szóló 368/2011. (XII. 31.) számú Korm. rendeletben (a továbbiakban: Ávr.) foglaltak figyelembe vételével a Magyarország helyi önkormányzatairól szóló 2011. évi CLXXXIX. törvény 120. § (1) bekezdés a.) pontjában biztosított véleményezési jogkörben eljáró Városfejlesztési és Pénzügyi Bizottság véleményének kikérésével a következőket rendeli el:
1. § (1) Az Önkormányzat képviselő-testülete a 2020. évi költségvetés végrehajtásáról szóló zárszámadást 7.185.656.250,- Ft költségvetési bevétellel, 3.971.688.375,- Ft költségvetési kiadással, és 3.213.967.875,- Ft maradvánnyal hagyja jóvá.
(2) Az Önkormányzat mérlegszerűen bemutatott kiadásait, bevételeit önkormányzati szinten az 1. mellékletben foglaltaknak megfelelően fogadja el.
(3) A bevételek és kiadások előirányzat-csoportok, kiemelt előirányzatok és azon belül kötelező fel-adatok, önként vállalt feladatok, államigazgatási feladatok szerinti bontásban a 2. melléklet szerint fogadja el.
(4) A működési bevételek és kiadások, valamint a tőke jellegű bevételek és kiadások mérlegét a 3. melléklet szerint fogadja el.
2. § A Képviselő-testület az Önkormányzat 2020. évi zárszámadását részletesen a következők szerint fogadja el:
(1) Az Önkormányzat beruházási és felújítási kiadásait a 4. melléklet szerint hagyja jóvá.
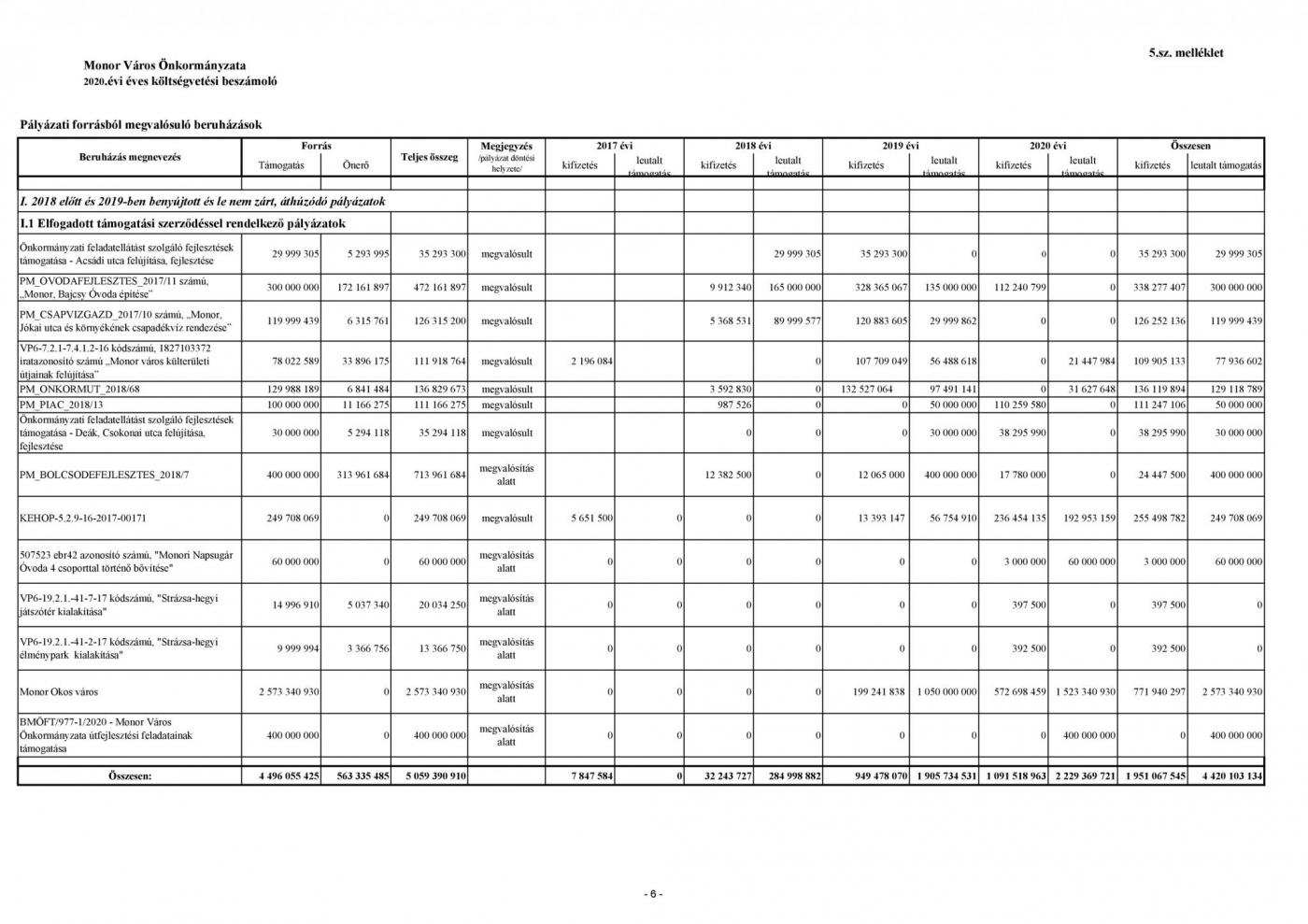
(2) Az EU-s támogatással megvalósuló programok és projektek, valamint az önkormányzaton kívül megvalósult projektekhez való hozzájárulás pénzügyi elszámolását az 5. melléklet szerint fogadja el.
(3) A Képviselő-testület a költségvetési szervek maradványát és annak felhasználását a 6. mellékletnek megfelelően hagyja jóvá, illetve engedélyezi.
(4) Az Önkormányzat bevételi és kiadási előirányzatainak teljesítését a 7. mellékletben és 8. mellékletben foglaltaknak megfelelően hagyja jóvá.
(5) A Monori Polgármesteri Hivatal előirányzatainak teljesítését a 9. mellékletben foglaltaknak megfelelően hagyja jóvá.
(6) Az Intézmények bevételi és kiadási előirányzatainak teljesítését a 10. mellékletben foglaltaknak megfelelően hagyja jóvá.
(7) Az Önkormányzat közszolgálati létszámadatait a 11. mellékletben foglaltaknak megfelelően hagyja jóvá.
(8) A könyvviteli mérleg szerinti vagyonkimutatást a 12. mellékletben foglaltaknak megfelelően hagyja jóvá.
(9) Az Önkormányzat eszköz-forrás mérlegkimutatását a 13. melléklet szerint hagyja jóvá.
(10) Az Önkormányzat eredménykimutatását és az egyéb tartós részesedéseket a 14. melléklet és 15. melléklet szerint hagyja jóvá.
3. § (1) A Képviselő-testület utasítja az Önkormányzat jegyzőjét, hogy a költségvetési maradványt érintő fizetési kötelezettségek teljesítését biztosítsa, illetve kísérje figyelemmel.
(2) Az Önkormányzat jegyzője és a költségvetési szervek vezetői a költségvetési maradványnak a 2021. évi előirányzatokon történő átvezetéséről gondoskodni kötelesek.
4. § A Képviselő-testület utasítja az Önkormányzat jegyzőjét, hogy a költségvetési beszámoló elfogadásáról a költségvetési maradvány jóváhagyott összegéről, elvonásáról a költségvetési szervek vezetőit a rendelet kihirdetését követő 15 napon belül írásban értesítse.
5. § Ez a rendelet a kihirdetését követő napon lép hatályba.
1. melléklet

2. melléklet


3. melléklet

4. melléklet

5. melléklet

6. melléklet


7. melléklet



8. melléklet

9. melléklet

10. melléklet




11. melléklet


12. melléklet

13. melléklet

14. melléklet

15. melléklet
