Hegyeshalom Nagyközségi Önkormányzat Képviselő-testületének 17/2021. (XII. 17.) önkormányzati rendelete

a helyi építési szabályzatról szóló 6/2010.(VI.25.) rendelet módosításáról

Hatályos: 2021. 12. 18- 2021. 12. 18

Hegyeshalom Nagyközség Önkormányzata Képviselő-testületének 17/2021. (XII. 17.) önkormányzati rendelete

a helyi építési szabályzatról szóló 6/2010.(VI.25.) rendelet módosításáról

2021.12.18.

Hegyeshalom Nagyközségi Önkormányzat az épített környezet alakításáról és védelméről szóló 1997. évi LXXVIII. törvény 62. § (6) bekezdés 6. pontjában kapott felhatalmazás alapján, az Alaptörvény 32. cikk. (1) bekezdés a) pontjában meghatározott feladatkörében eljárva a következőket rendeli el:

1. § (1) A helyi építési szabályzatról szóló 6/2010 (VI.25.) önkormányzati rendelet 1. § g) pontja helyébe a következő rendelkezés lép:

(A rendelet)

„g) az SZ-J1/7/2M jelű, Rp.I.116-38 munkaszámú, Szabályozási és övezeti terv I./7/2M (Egykori ipari park területe) (továbbiakban: SZ-J1 terv) című,”

(tervlapokkal, mint mellékletekkel együtt alkalmazandó.)

(2) A helyi építési szabályzatról szóló 6/2010 (VI.25.) önkormányzati rendelet 1. § i) pontja helyébe a következő rendelkezés lép:

(A rendelet)

„i) az SZ-J2/3M jelű, Szabályozási és övezeti terv II. (Külterület) (továbbiakban: SZ-J2 terv) című terv j) pontban meghatározott mellékleten módosítással érintett terület kivételével,”

(tervlapokkal, mint mellékletekkel együtt alkalmazandó.)

(3) A helyi építési szabályzatról szóló 6/2010 (VI.25.) önkormányzati rendelet 1. §-a a következő j) ponttal egészül ki:

(A rendelet)

„j) az SZ-J2/4M jelű, Rp.I.116-38 munkaszámú, Szabályozási és övezeti terv II. (Külterület) fedvény (továbbiakban: SZ-J2 terv) című”

(tervlapokkal, mint mellékletekkel együtt alkalmazandó.)

2. § A helyi építési szabályzatról szóló 6/2010 (VI.25.) önkormányzati rendelet 4. § (2) bekezdése a következő j) ponttal egészül ki:

(Kötelező szabályozási elemek)

„j) a be nem építhető teleksáv”

3. § A helyi építési szabályzatról szóló 6/2010 (VI.25.) önkormányzati rendelet 7. §-a a következő (5) bekezdéssel egészül ki:

„(5) A be nem építhető teleksáv jellel jelölt területen építmény nem építhető, kivéve az út, út műtárgyai és tartozékai, valamint a nagysebességű vasútvonal és annak műtárgyai és tartozékai.”

4. § A helyi építési szabályzatról szóló 6/2010 (VI.25.) önkormányzati rendelet 18. § c) pontja a következő cd) alponttal egészül ki:

(Beépített és beépítésre szánt terület

Gazdasági terület)

„cd) általános gazdasági Gált”

5. § A helyi építési szabályzatról szóló 6/2010 (VI.25.) önkormányzati rendelet 30. § (4) bekezdése helyébe a következő rendelkezés lép:

„(4) Az építési hely határa a 7. melléklet, valamint az SZ-J1 terv szerint meghatározott, kivéve, amennyiben a részletes övezeti előírások másként rendelkeznek.”

6. § A helyi építési szabályzatról szóló 6/2010 (VI.25.) önkormányzati rendelet 32. §-a a következő (5) bekezdéssel egészül ki:

„(5) A jelű övezetben

a) az (1) bekezdés a) pontjában meghatározott építmények építhetők.

b) övezeti előírások:

ba) beépítési mód: szabadon álló

bb) az építési hely határa: SZ-J1 terv szerint azzal, hogy telekalakítás esetén SZ-J1 terv szerint akként, hogy ahol az nem jelöli, ott a 7. melléklet előírásai szerint

bc) megengedett legnagyobb beépítettség: 80% azzal, hogy lakó rendeltetés esetén 50%. Az övezet területén legfeljebb 1200 lakás alakítható ki.

bd) kialakítandó legkisebb zöldfelület: 10% azzal, hogy lakó rendeltetés esetén 20%

be) megengedett legnagyobb épületmagasság: 18 m azzal, hogy az övezet területének legfeljebb 10%-nyi területén kereskedelmi, szolgáltató és szállás rendeltetés esetén 40 méter

bf) alakítható legkisebb telekterület: 2 000 m2

bg) az övezet SZ-J1 terven telken belüli kötelező fásítás jellel jelölt helyén takaró-védőfásítást kell létrehozni és fenntartani.

bh) az övezet SZ-J1 terv megtartandó növényzet jellel jelölt területén a kialakult növényzetet fenn kell tartani.

bi) az övezet területén háztartási méretűnél nagyobb új naperőmű csak épületen helyezhető el.”

7. § A helyi építési szabályzatról szóló 6/2010 (VI.25.) önkormányzati rendelet 33. §-a a következő d) ponttal egészül ki:

(A gazdasági terület besorolása sajátos használat szerint:)

„d) általános gazdasági”

8. § A helyi építési szabályzatról szóló 6/2010 (VI.25.) önkormányzati rendelet a következő alcímmel és az arra vonatkozó rendelkezésekkel egészül ki:

„20/A. Általános gazdasági terület

38/A. § (1) A Gált jelű övezetben gazdasági célú ipari, valamint kereskedelmi, szolgáltató rendeltetésű építmények helyezhetők el, figyelemmel a részletes övezeti előírásokra.

(2) A részletes övezeti előírásokat a 11. melléklet tartalmazza.”

9. § A helyi építési szabályzatról szóló 6/2010 (VI.25.) önkormányzati rendelet 1. § g) pontjában meghatározott melléklete helyébe jelen rendelet 3. melléklete lép.

10. § (1) A helyi építési szabályzatról szóló 6/2010 (VI.25.) önkormányzati rendelet 8. mellékletében a jelű övezet, valamint az arra vonatkozó előírás helyébe a jelű táblázat lép ezen rendelet 1. melléklete szerint.

(2) A helyi építési szabályzatról szóló 6/2010 (VI.25.) önkormányzati rendelet ezen rendelet 2. melléklete szerinti 11. melléklettel egészül ki.

11. § Ez a rendelet 2021. december 18-án lép hatályba.

12. § E rendelet 6. §-a az egyes gazdaságfejlesztési célú és munkahelyteremtő beruházásokkal összefüggő közigazgatási hatósági ügyek nemzetgazdasági szempontból kiemelt jelentőségű üggyé nyilvánításáról, valamint egyes nemzetgazdasági szempontból kiemelt jelentőségű üggyé nyilvánításról szóló kormányrendeletek módosításáról 141/2018. (VII. 27.) Korm. rendelet 2. melléklet 28. sora szerinti nemzetgazdasági szempontból kiemelt jelentőségű beruházás mezőgazdasági termelő, feldolgozó létesítmények kivitelezésének megkezdését követő napon lép hatályba.

13. § Hatályát veszti a helyi építési szabályzatról szóló 6/2010 (VI.25.) önkormányzati rendelet 1. § i) bekezdésében meghatározott SZ-J2/3M jelű, Szabályozási és övezeti terv II. (Külterület) (továbbiakban: SZ-J2 terv) című mellékletén a jelen rendelet 4. mellékletén módosítással érintett területre vonatkozó rendelkezés.

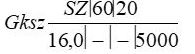
1. melléklet a 17/2021. (XII. 17.) önkormányzati rendelethez

Az építési hely

elhelyezkedése
határa

szabadon álló
SZ-J1 terv szerint azzal, hogy telekalakítás esetén SZ-J1 terv szerint akként, hogy ahol az nem jelöli, ott 10,0 m

Beépíthetőség

legnagyobb beépítettség /%/

60%

legkisebb zöldfelület %

20%

Épület

legnagyobb épületmagasság

16,0 m

Legkisebb
kialakítható
telekméretek

szélesség /m/
mélység /m/
telekterület /m2/

-

5000 m2

Egyéb

az övezet SZ-J1 terven telken belüli kötelező fásítás jellel jelölt helyén takaró-védőfásítást kell létrehozni és fenntartani
az övezet SZ-J1 terv megtartandó növényzet jellel jelölt területén a kialakult növényzetet fenn kell tartani
az övezet területén háztartási méretűnél nagyobb új naperőmű csak épületen helyezhető el.

2. melléklet a 17/2021. (XII. 17.) önkormányzati rendelethez a 17/2021. (XII. 17.) önkormányzati rendelethez

Az építési hely

elhelyezkedése
határa

szabadon álló
SZ-J1 terv szerint azzal, hogy telekalakítás esetén SZ-J1 terv szerint akként, hogy ahol az nem jelöli, ott 10,0 m

Beépíthetőség

legnagyobb beépítettség /%/

70%

legkisebb zöldfelület %

25%

Épület

legnagyobb épületmagasság

16,0 m azzal, hogy az övezet területének legfeljebb 10%-nyi területén a technológiai építmény magassága ezt az értéket 5 m-rel meghaladhatja

Legkisebb
kialakítható
telekméretek

szélesség /m/
mélység /m/
telekterület /m2/

-

5000 m2

Egyéb

az övezet SZ-J1 terven telken belüli kötelező fásítás jellel jelölt helyén takaró-védőfásítást kell létrehozni és fenntartani
az övezet SZ-J1 terv megtartandó növényzet jellel jelölt területén a kialakult növényzetet fenn kell tartani
az övezet területén háztartási méretűnél nagyobb új naperő-mű csak épületen helyezhető el