Hegyeshalom Nagyközségi Önkormányzat Képviselő-testületének 10/2024. (X. 31.) önkormányzati rendelete

a helyi építési szabályzatról szóló 6/2010. (VI. 25.) rendelet módosításáról

Hatályos: 2024. 11. 01- 2024. 11. 01

Hegyeshalom Nagyközségi Önkormányzat Képviselő-testületének 10/2024. (X. 31.) önkormányzati rendelete

a helyi építési szabályzatról szóló 6/2010. (VI. 25.) rendelet módosításáról

2024.11.01.

Hegyeshalom Nagyközségi Önkormányzat Képviselő-testülete a magyar építészetről szóló 2023. évi C. törvény 225. § (8) bekezdés 1. pontjában kapott felhatalmazás alapján, a Magyarország helyi önkormányzatairól szóló 2011. évi CLXXXIX. törvény 13. § (1) bekezdés 1. pontjában és a magyar építészetről szóló 2023. évi C. törvény 22. § (1) bekezdésében meghatározott feladatkörében eljárva, a településfejlesztési koncepcióról, az integrált településfejlesztési stratégiáról és a településrendezési eszközökről, valamint a településtervek tartalmáról, elkészítésének és elfogadásának rendjéről, valamint egyes településrendezési sajátos jogintézményekről szóló 419/2021. (VII. 15.) Korm. rendeletben biztosított, annak 11. mellékletében meghatározott államigazgatási szervek véleményének kikérésével, a következő rendeletet alkotja:

1. § A helyi építési szabályzatról szóló 6/2010 (VI.25.) önkormányzati rendelet 1. § f) pontja helyébe a következő rendelkezés lép:

(A rendelet)

„f) az SZ-J1/6/6M jelű, Szabályozási és övezeti terv I./6/6M (Egykori határállomás) (továbbiakban: SZ-J1 terv) című, Rp.I.116-45 munkaszámú”

(tervlapokkal, mint mellékletekkel együtt alkalmazandó.)

2. § (1) A helyi építési szabályzatról szóló 6/2010 (VI.25.) önkormányzati rendelet 34. § (4) bekezdése helyébe a következő rendelkezés lép:

„(4) A részletes övezeti előírásokat az (5) bekezdés figyelembe vételével a 8. melléklet tartalmazza.”

(2) A helyi építési szabályzatról szóló 6/2010 (VI.25.) önkormányzati rendelet 34. §-a a következő (5) bekezdéssel egészül ki:

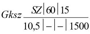
„(5) A jelű övezetben az építési hely határai: előkert 5,0 m, oldalkert és hátsókert 6,0-6,0 m.”

3. § A helyi építési szabályzatról szóló 6/2010 (VI.25.) önkormányzati rendelet SZ-J1/6/5M jelű, Szabályozási és övezeti terv I./6/5M (Egykori határállomás) című, Rp.I.116-33 munkaszámú tervlapja helyébe az 1. melléklet lép.

4. § Ez a rendelet a kihirdetését követő napon lép hatályba, és az azt követő napon hatályát veszti.

1. melléklet a 10/2024. (X. 31.) önkormányzati rendelethez

SZ-J1/6/5M jelű, Szabályozási és övezeti terv I./6/5M (Egykori határállomás) című, Rp.I.116-33 munkaszámú tervlap