Paks Város Önkormányzata Képviselő-testületének 33/2016. (VIII. 22.) önkormányzati rendelete
Paks Város Helyi Építési Szabályzatáról
Hatályos: 2024. 04. 20Paks Város Önkormányzata Képviselő-testületének 33/2016. (VIII. 22.) önkormányzati rendelete
Paks Város Helyi Építési Szabályzatáról
Paks Város Önkormányzata Képviselő-testülete az épített környezet alakításáról és védelméről szóló 1997. évi LXXVIII. törvény 62. § (6) bekezdés 6. pontjában kapott felhatalmazás alapján, az Alaptörvény 32. cikk (1) bekezdés a) pontjában, a Magyarország helyi önkormányzatairól szóló 2011. évi CLXXXIX. törvény 13. § (1) bekezdés 1. pontjában, valamint az épített környezet alakításáról és védelméről szóló 1997. évi LXXVIII. törvény 6. § (1) bekezdés, 9/B. § (2) bekezdés a) pontjában, b) pontjában és 13. §-ában meghatározott feladatkörében eljárva, az épített környezet alakításáról és védelméről szóló 1997. évi LXXVIII. törvény 13. § (1) bekezdésében, valamint a településfejlesztési koncepcióról, az integrált településfejlesztési stratégiáról és a településfejlesztési eszközökről, valamint az egyes sajátos jogintézményekről szóló 314/2012. (XI. 8.) Korm. rendelet 32. § és 36. §-ban foglaltakra figyelemmel, a helyi adottságoknak megfelelően a partnerségi egyeztetés szerinti érintettek, a 9. számú mellékletben megjelölt véleményezési jogkörben eljáró államigazgatási szervek, valamint az érintett területi és települési önkormányzatok véleményének kikérésével az építés helyi rendjének biztosítása érdekében a következőket rendeli el.
ÁLTALÁNOS ELŐÍRÁSOK
JOGSZABÁLY TERÜLETI HATÁLYA, ALKALMAZÁSA
1. A RENDELET HATÁLYA
1. § A Helyi Építési Szabályzat (a továbbiakban: HÉSZ) hatálya Paks Város közigazgatási területén lévő ingatlanokra, az azokon tervezett telekalakításokra, építményeken, nyomvonalas létesítményeken végzett építési munkákra, ezek tulajdonosaira, bérlőire, használóira valamint a közigazgatási területen elhelyezendő hirdető berendezésekre terjed ki.
2. A RENDELET ALKALMAZÁSA
2. § A HÉSZ hatálya alá tartozó területen területet felhasználni, továbbá telket alakítani, építési és bontási munkát végezni, továbbá rendeltetést megváltoztatni (a továbbiakban együtt: építési munka) az általános érvényű előírások mellett csak a magasabb szintű jogszabályok, az épített környezet alakításáról és védelméről szóló 1997. évi LXXVIII. törvény (továbbiakban: Étv.). és az Országos Településrendezési és Építési Követelményekről szóló 253/1997. (XII. 20.) Korm. rendelet (továbbiakban: OTÉK) 2013. augusztus 6-át követően mindenkor hatályos előírásainak, illetve a 6. függelék szerinti vonatkozó helyi rendeletek és e rendelet előírásainak betartásával lehet.
A RENDELET FELÉPÍTÉSE
3. MELLÉKLETEK ÉS FÜGGELÉKEK
3. § (1) A rendelet elválaszthatatlan részét képezik az alábbi mellékletek:
a) 1. melléklet: Paks Város Szabályozási Terve (továbbiakban: SZT)
aa) 1/a melléklet: belterület szabályozási terve
ab) 1/b melléklet: külterület szabályozási terve
b) 2. melléklet: Paks Város építési övezetek és övezetek paraméterei
c) 3. melléklet: Lke-4.4 építési övezetben az 1200 m2 telekméretű, vagy azt el nem érő ingatlanok
d) 4. melléklet: Állattartó építmények elhelyezésének során betartandó minimális telepítési távolságok
e)1 5. melléklet: Malomhegy városrész lehatárolása,
f)2 6. melléklet: Mk jelű kertes mezőgazdasági területek
(2) A rendelet - tájékoztatás céljából - az alábbi függelékeket tartalmazza:
a) 1. függelék: Épített értékek
aa) 1.1. függelék: Műemlékek és műemléki környezetük jegyzéke
ab) 1.2. függelék: Régészeti lelőhelyek jegyzéke
ac)-ad)
FOGALMAK MEGHATÁROZÁSOK
4. FOGALMAK
4. § E rendelet alkalmazásában:
1. Állattartással kapcsolatos építmény: olyan építmény mely állatok tartására és az ehhez kapcsolódó anyagok (trágya, táp, alom) tárolására és kezelésére szolgál.
2. Atomerőmű biztonsági övezete: külön jogszabályban megállapított SZT-n jelölt kiterjedésű övezet.
3.
4. Beépített terület: azon építési övezetbe sorolt ingatlan ahol a jelenlegi használat megfelel az SZT-ben jelölt övezeti előírásoknak.
5. Csurgó távolság: a meglévő vagy tervezett új épület oldalhatár felöli homlokzata és a telekhatár között lévő telekrész.
6. Csúszás-, omlás-, valamint árvízveszélyes terület: az SZT-n jelölt, a partfalak hatástávolságán (a perem, és lábvonalakon) belüli, a 15º-nál meredekebb dőlésű, és a 3 m-nél nagyobb földvastagságot eredményező tereprendezéssel érintett területek, illetve a Duna nagyvízi medre és a „V” jelű övezetek területe.
SZABÁLYOZÁSI ELEMEK ALKALMAZÁSA
5. ÉRTELMEZŐ RENDELKEZÉSEK
5. § (1) A HÉSZ előírásai, továbbá az SZT szabályozási elemei a (2) és (2a) bekezdésben foglaltak kivételével kötelező érvényűek (a továbbiakban: kötelező szabályozási elem).
(2) A szabályozási terv javasolt szabályozási elemei:
a) javasolt telekhatár,
b) megtartásra javasolt épület,
c) javasolt megszüntetés.
(2a) A szabályozási terv irányadó szabályozási eleme: irányadó építési hely.
(3) A kötelező szabályozási elemektől való eltérés csak e rendelet módosításával történhet.
(4) Az irányadó szabályozási elemek vagy a szabályozás lehetséges változatára utalnak, vagy pontosításuk továbbtervezést igényel. Az ezektől való eltérés a HÉSZ-ben foglalt rendelkezések keretei között a HÉSZ, illetve az SZT módosítása nélkül megengedett.
(5) Ahol a szabályozási, illetve építési határvonal meglévő épületet érint:
a) a szabályozási vonalat, építési vonalat és az emiatt szükségessé váló telekhatár rendezést a meglévő épület elbontása után, új épület építése esetén kell figyelembe venni;
b) a meglévő épületen a karbantartásokat el lehet végezni, illetve azt fel lehet újítani;
c) beépítési mérték növekedést eredményező bővítés esetén (kivéve a tetőtér beépítést és a szint ráépítést), a bővítés irányának meghatározásakor a szabályozási, illetve építési határvonalat figyelembe kell venni;
d) új épület építése esetén a szabályozási, illetve az építési határvonalon, valamint az építési helyen - az elbontásra tervezett épületből a kivitelezés idejére visszamaradó - túlnyúló építményeket, építményrészeket legkésőbb a használatbavételig le kell bontani.
(6) A megtartásra javasolt épület csak akkor bontható el, ha annak felújítása gazdaságtalan vagy műszakilag nem lehetséges. Bontás esetén az épület helyét irányadó építési helyként kell figyelembe venni.
(7) Az építményeket a lakó, településközpont és intézmény építési övezetekben az előírt beépítési módnak megfelelően az alábbiak szerint kell elhelyezni:
a) oldalhatáros beépítési mód esetén:
aa) az építési hely utcai építési vonalán, vagy ferde telekhatár esetén azt érintve a homlokzattal,
ab) az utcai építési vonaltól 8,0 m-es traktusmélységig a telek beépítési oldalát meghatározó telekhatáron, vagy attól maximum 1,00 m-re,
ac) az utcai minimum 8,0 m-es traktusmélység mögötti épületszárny az építési helyen belül eltávolodhat a beépítést meghatározó oldalhatártól az OTÉK 37. § (4) bekezdés előírásainak betartásával. A megnyitott földszinti homlokzat esetében a beépítési oldalhatár irányában átlátást megakadályozó tömör kerítést kell létesíteni. Az efölötti szinten az oldalhatártól 6,0 m távolságig oldalhatárral 60°-nál kisebb szöget bezáró homlokzati falban és a vízszintessel 30°-nál nagyobb szöget bezáró, a telekhatár felé lejtő tetőfelületen lakóhelyiség ablaka nem helyezhető el.
ad) 24,0 m telekszélesség felett az épület az építési helyen belül az oldalkert irányában szabadon telepíthető, de az illeszkedés szabályait betartva,
b) szabadonálló beépítési mód esetén az építési hely utcai építési vonalán, vagy ferde telekhatár esetén azt érintve a homlokzattal,
c) zársorú beépítési mód esetén:
ca) az építési hely utcai építési határvonalán homlokzattal és a homlokzati határfal külső síkjának minimum 2/3-ad részével,
cb) az utcai építési határvonaltól számított minimum 8,0 m-es sávban az oldalsó telekhatáron tűzfallal,
cc) az utcai építési határvonaltól 12,0 m-es mélységig az oldalsó telekhatáron zárt, nyílás nélküli homlokzattal,
cd) a 8 méteres sávon túli telekrészen a beépítés meglévő rendjéhez illeszkedően oldalhatáron álló udvari szárny is építhető,
ce) nem zársorúan csatlakozó épület elhelyezés esetén az OTÉK szerinti telepítési távolság megtartásával, de legalább 3,0 m távolságot kell tartani.
d) Minden beépítési mód esetében az utcai építési határvonalon kizárólag főépítmény állhat.
(8) Az építési helyet meghatározó elő-, oldal- és a hátsókert méreteket az adott beépítési mód alapján az alábbiak szerint kell megállapítani (az eltérő előírásokat a rendelet övezeti előírásai vagy az SZT rögzítik):
a) az előkert legkisebb mélysége beépített terület esetén az adott utcasorban kialakult állapot szerinti méret, új beépítésű területeken 5,0 m;
b)8 az oldalkert legkisebb szélessége: szabadon álló és ikresen csatlakozó beépítési mód esetén az előírt épületmagasság (Ém) fele, oldalhatáron álló beépítési mód esetén Ém;
c) beépített terület esetén az OTÉK-ban meghatározott legkisebb oldalkert méretek - az OTÉK szerinti telepítési távolság megtartásával - az adott utcasorban kialakult állapot mértékig csökkenthető, de nem lehet kisebb szabadon álló és ikresen csatlakozó beépítési mód esetén 3,0 m-nél, oldalhatáron álló beépítési mód esetén pedig 4,0 m-nél;
d) a hátsókert legkisebb mélysége - ha e rendelet ettől eltérő előírást nem tartalmaz - beépített terület esetén az adott területen kialakult állapot szerinti méret, újonnan beépítésre szánt területen az OTÉK előírása szerinti méret.
KÖZTERÜLET ALAKÍTÁSÁRA VONATKOZÓ ELŐÍRÁSOK
6. KÖZTERÜLETEKRE VONATKOZÓ RENDELKEZÉSEK
6. § (1) A terven feltüntetett közterületek a közérdekből minimálisan szükséges közterületeket tartalmazza, melyek egyrészt a városi közélet tereit, a város működéséhez, üzemeltetéséhez szükséges területeket, másrészt az egyes telkek közterületi kapcsolatait, mint közút, közmű biztosítják.
(2) Közterületen építményt csak az SZT-ben kijelölt építési helyen lehet elhelyezni.
(3) Ha a közterület eltérő használatához építmény építése is szükséges, a tulajdonos a tervezett építmény kialakítását (elhelyezés, építészeti megjelenés stb.) köteles a települési főépítésszel egyeztetni.
(4) -(5)
AZ ÉPÍTETT KÖRNYEZET ALAKÍTÁSÁRA VONATKOZÓ ELŐÍRÁSOK
7. KULTURÁLIS ÖRÖKSÉGVÉDELEM
7. § (1) Régészeti lelőhelyek védelme:
a) a város nyilvántartott régészeti lelőhelyeit az SZT és a HÉSZ 1.2 függeléke tartalmazza;
b) a Lussonium és környezete fokozottan védett régészeti lelőhely és világörökség várományos terület;
(2) A város műemléki védelem alatt álló értékeit az SZT és a HÉSZ 1.1 függeléke tartalmazza;
(3)
(4) Az SZT-n jelölt ingatlanokat érintő világörökség-várományos területtel érintett ingatlanok hasznosítása:
a) a kezelési tervben meghatározottaknak megfelelően történhet;
b) a közlekedési infrastruktúra hálózatokat és építményeket a kulturális örökségi értékek sérelme nélkül, területi egységét megőrizve, látványuk érvényesülését elősegítve kell elhelyezni;
c)
d) a területen új külszíni művelésű bányatelek nem létesíthető.
(5)
(6) Régészeti és műemléki érintettség esetén a 2001. évi LXIV. törvény és a hozzá kapcsolódó a régészeti örökség és a műemléki érték védelmével kapcsolatos szabályokról szóló 39/2015. (III. 11.) Korm. rendeletalapján kell eljárni.
(7) Minden, nyilvántartott régészeti lelőhelyet érintő, talajt bolygató tevékenység, valamint művelési ág megváltoztatása esetén az örökségvédelmi hatóság érintett az engedélyezési eljárásokban. Az örökségvédelmi érdekek védelmében előírt korlátozások illetve hatáscsökkentő eljárások terheit a jogszabályi rendelkezések értelmében az köteles viselni, akinek érdekében az elvégzendő földmunka vagy a régészeti lelőhely bolygatása szükségessé vált.
(8) Minden olyan esetben, amikor lelet vagy jelenség kerül elő, a területileg illetékes jegyző útján a Forster Gyula Nemzeti Örökségvédelmi és Vagyongazdálkodási Központot, a területileg illetékes múzeumot és az örökségvédelmi hatóságot értesíteni kell.
(9) A kulturális örökség védelméről szóló 2001. évi LXIV. törvény szerinti nagyberuházásokhoz kapcsolódó engedélyezési eljárásokban a tervezett tevékenység örökségvédelmi hatásainak felmérésére Előzetes régészeti dokumentáció készítését írja elő a jogszabály. Az Előzetes régészeti dokumentációt a Forster Gyula Nemzeti Örökségvédelmi és Vagyongazdálkodási Központ készíti el, ezt a dokumentumot az első olyan hatósági engedélyezési eljárásban kell benyújtani, amely földmunkák végzésére jogosít és amelyben az örökségvédelmi hatóság részt vesz.
(10) A régészeti örökséget és műemlékeket érintő kérdésekben a településrendezési eszközhöz készített örökségvédelmi hatástanulmányban foglaltak és a központi közhiteles örökségvédelmi nyilvántartás adatai együttesen az irányadók.
(11) Műemlék telkén, műemléki környezetben, műemléki jelentőségű területen minden olyan építéssel, környezetalakítással, védett parkban növényzet-telepítéssel és eltávolítással járó tevékenység, amely építésügyi hatósági engedélyhez vagy az építésfelügyeleti hatóság tudomásulvételéhez nem kötött, a hatályos jogszabályok szerint örökségvédelmi engedély vagy bejelentés alapján végezhető. Műemlék épületek építési ügyeiben az illetékes örökségvédelmi hatóság építésügyi hatóságként jár el.
(12) Azokban az esetekben, ahol felmerül az építmény műemlékké nyilvánításának szándéka, első lépésként kezdeményezni kell az építmény nyilvántartott műemléki értékké nyilvánítását.
8. AZ ÉPÍTMÉNYEK ÁLTALÁNOS ÉPÍTÉSZETI KÖVETELMÉNYEI
8. § (1) A területen csak olyan építészeti szempontból igényes építmények építhetők, amelyet a telek adottságainak, a környezetük jellegének, a rendeltetésük követelményeinek, az építőanyagok sajátosságainak megfelelően alakítottak ki.
(2) -(3)
(4) Az építészeti-műszaki tervdokumentáció egésze:
a) feleljen meg a településrendezési eszközökben foglalt kötelező előírásoknak,
b) vegye figyelembe az övezeti, illetve beépítési előírásokban szereplő további - a (város)építészeti illeszkedésre vonatkozó - javaslatokat,
c) a településrendezési eszköz irányadó szabályozásától, valamint a b) pont szerinti javaslatoktól való eltérés esetén a megoldás legyen azokkal egyenértékű vagy eredményezzen azoktól kedvezőbb beépítést, településképi megjelenést,
d) a Pakson hagyományosnak tekinthető, kipróbált megoldásoktól abban az esetben térjen el, ha az új megoldás a város építészeti értékeit méltóképpen fejleszti, gazdagítja.
(5) A beépítés terve:
a) számoljon a természeti környezet adottságaival: terepviszonyok, tájolás, meglevő növényzet, felszíni és felszín alatti vizek, széljárás,
b) az (1) bekezdésben foglaltakon túlmenően - illeszkedjen a város szerves fejlődési folyamatába,
c) vegye figyelembe a kialakult vagy átalakuló környező beépítés adottságait, a rendeltetésszerű használat és a további fejlesztések lehetőségeit,
d) ne korlátozza a szomszédos ingatlanok rendeltetésszerű használatát, benapozását és kilátását,
e) több építési ütemben megvalósuló új beépítés vagy meglévő építmények bővítése esetén
ea) biztosítsa az előírásoknak és az illeszkedési követelményeknek megfelelő további fejlesztés, bővítés megvalósíthatóságát,
eb) javasoljon olyan beépítési sorrendet, mely megfelel a rendezett településképpel kapcsolatos követelményeknek.
(6) Az épület homlokzat és tetőzet terve:
a) határozza meg egyértelműen:
aa) a tetőzet kialakítását, különösen annak hajlásszögét, anyagát, felületképzését, színét, felépítményeit,
ab) a homlokzat kialakítását, különösen a lábazat és a falfelületek anyagát, felületképzését, színét, tagolását, burkolatát,
ac) a homlokzaton vagy tetőn elhelyezett nyílászárók méretét, osztását, anyagát és felületképzését,
b) építészeti megoldásaival illeszkedjen a kialakult vagy a településrendezési eszköz szerint átalakuló épített környezethez,
c) adjon javaslatot a reklám- és információs berendezések elhelyezésére és kialakítására (méretek, anyag, grafika, tipográfia),
d) tartalmazzon városképi szempontból kedvező megoldást az épület tartozékok (gépészeti, elektromos, egyéb közmű) kültéri elhelyezésére,
(7) A határoló közterülettel való kapcsolat terve:
a) vegye figyelembe a közterület adottságait és esetleges berendezéseit, műtárgyait, növényzetét
b) adjon javaslatot a szükséges (közterületet érintő) beavatkozásokra, a gyalogos és gépjármű megközelítés kialakítására.
9-11.
12. MELLÉKÉPÜLETEK LÉTESÍTÉSÉNEK, KIALAKÍTÁSÁNAK ELŐÍRÁSAI
12. § (1) A meglévő és tervezet melléképületek létesítésének és kialakításának általános előírásai, amennyiben eltérő szabályozást az övezeti előírások nem állapítanak meg:
(2) Főépítmény nélkül melléképítmény és melléképület nem létesíthető, kivéve közmű-becsatlakozó műtárgy és közműpótló műtárgy.
(3) Meglévő melléképítmény és melléképület főépítmény hiányában lakássá nem minősíthető át.
(4) Melléképület csak a főépítmény szerkezeteitől független, önálló határoló falakkal rendelkező épület lehet.
(5) A főépítmény és a közterületi határvonal közötti területen gépkocsi tárolás célját szolgáló önálló szerkezetű építmény, nem helyezhető el.
(6) A melléképületek csak földszintes kialakításúak lehetnek, a tetőterük nem építhető be.
(7) A melléképület épületmagassága legfeljebb 3,50 méter lehet, de nem haladhatja meg a főépítmény épületmagasságát.
(8)
13. § (1) Állattartó melléképület ott és úgy létesíthető, ahol, és ahogy azt az állattartásról szóló magasabb szintű jogszabályok valamint az állattartásról szóló önkormányzati rendelet ezt lehetővé teszi.
(2) Az állattartással kapcsolatos építmények elhelyezésénél a 4. mellékletben meghatározott telepítési távolságokat kell betartani. A telepítési távolságot az állattartó építmény és a védendő objektum közötti legközelebbi pontok között légvonalban kell érteni. A telepítési távolságokat nem kell alkalmazni a méhek állattartó építményeire, az azokra vonatkozó telepítési távolságokat a méhek tartátásról szóló magasabb szintű jogszabály tartalmazza.
(3) Haszonállattartó építmény telepítési távolsága az egyházi épületektől, temetőktől, bölcsődéktől, óvodáktól, iskoláktól, diákotthonoktól, napközi otthonoktól, egészségügyi intézményektől, közétkeztetési intézményektől, élelmiszerüzletektől és -üzemektől, vendéglátó egységektől, valamint sportlétesítményektől legalább 50 m.
14. § (1) A gépkocsi tárolók melléképületként illetve főépítményként is kialakíthatók a HÉSZ és az SZT keretei között.
(2) Melléképületként megvalósuló gépkocsi tárolók elhelyezésére és kialakítására a melléképületekre vonatkozó előírások alkalmazandók a jelen §-ban foglalt kiegészítésekkel.
(3) Lakóterületen, oldalhatáron álló beépítés esetén kizárólag gépkocsitároló céljára épített melléképület, vagy vegyes funkciójú melléképület kizárólag gépkocsi tárolásra szolgáló helyisége az oldalkertben is elhelyezhető:
a)9 az utcai telekhatártól legalább 15 m-re hátrahúzva,
b) ha az a szomszédos telkek rendeltetésszerű használatát, valamint meglévő és tervezett beépítését (beépíthetőségét) nem korlátozza.
(4)10 Zártsorúsodó lakóterületen, oldalhatáron álló, előkert nélküli beépítés esetén, kizárólag gépkocsitároló céljára épített melléképület, vagy vegyes funkciójú melléképület kizárólag gépkocsi tárolásra szolgáló helyisége az utcai telekhatáron oldalkertben is elhelyezhető:
a) egységes megjelenésű, tömör, épített kerítés részeként,
b) ha az a szomszédos telkek rendeltetésszerű használatát, valamint meglévő és tervezett beépítését(beépíthetőségét) nem korlátozza, illetve ha az a saját telek használatát kedvezően befolyásolja.
(5) A (3) és (4) bekezdés szerint megvalósult gépkocsitároló rendeltetése - akár ha az önálló építményként, akár ha vegyes funkciójú épület részeként valósult meg - a későbbiekben sem változtatható meg.
(6) Amennyiben a - legfeljebb F+1 szintes lakóépülettel már beépített - lakótelek területe az érvényes övezeti előírások miatt a beépítettség további növelését nem tenné lehetővé, - a főépítményben lévő lakások számával azonos, de legfeljebb két (egyenként legfeljebb 18 m2 alapterületű) gépkocsitároló létesíthető, feltéve hogy az a szomszédos telkeken meglévő, illetve létesíthető épületek rendeltetésszerű használatát nem korlátozza.
(7) Főépítményként megvalósuló gépkocsitárolók elhelyezését az övezeti előírások határozzák meg. A lakóterületek építési övezeteiben gépkocsi tároló főépítményként nem helyezhető el.
(8) Melléképületet, kivéve közműpótló és közmű becsatlakozási műtárgyat, a főépítmény és a közterületi határvonal közötti területen elhelyezni nem lehet.
13. A RENDELTETÉSI MÓD MEGVÁLTOZTATÁSÁVAL KAPCSOLATOS ELŐÍRÁSOK
15. § (1) Meglévő épület rendeltetésének részleges, vagy teljes megváltoztatására abban az esetben van lehetőség, ha az új funkció az adott épületben lévő további - változatlan funkcióval működő - egységek, valamint a szomszédos ingatlanok rendeltetésszerű használatát nem korlátozza, továbbá az építési övezet szerinti hasznosítását (fejlesztését) nem akadályozza.
(2)
14.
16. §
KÖRNYEZETVÉDELEM
15. KÖRNYEZETVÉDELMI KÖVETELMÉNYEK
17. § (1) A beruházások nem okozhatnak olyan hatásokat, amelyek a környező területek jelenlegi és tervezett használati módját lehetetlenné teszik, így fejlesztési és építési, valamint külön jogszabályok alapján gyakorolható bármely tevékenység csak a környezetvédelmi kölcsönhatások ellenőrzésével, a követelmények érvényesítésével kezdhető meg és folytatható.
(2) Az építmények kialakításánál, a meglévő és új technológiák üzemeltetésénél biztosítani kell a környezeti elemekre (földtani közeg, a felszíni és a felszín alatti vizek és a levegő), valamint a zaj, mint jelentős hatótényezőkre vonatkozó követelmények érvényesülését, a minőségi és terhelési (immisszió és emisszió) határértékek teljesülését.
(3) Az építmények és használatuk külön-külön és együttesen sem eredményezhetnek a jogszabályokban vagy a hatóságok előírásaiban megállapított határértékeket meghaladó mértékű hatást.
VESZÉLYEZTETETT TERÜLETEKRE VONATKOZÓ ELŐÍRÁSOK
16. ÁRVÍZZEL VESZÉLYEZTETETT TERÜLETEK
18. § (1) Az állandóan „átmozgatott” hullámtéri terület szervesanyag-tartalma, inhomogenitása, gyökér-átszőttsége és igen változó kompresszibilitása kb. 1,0 m vastagságban érvényesül. Erre közvetlenül még feltöltés sem helyezhető.
(2) A mértékadó talajvízszintet a jelenlegi terepszinten kell felvenni a felhajtóerők számítása tekintetében.
(3) A szakhatóságok által jóváhagyott, az alaptömb-kiemelésekből származó iszapos homok, lösz, osztályozatlan kavicsos homok, illetve egyéb szennyeződéstől mentes kinyert anyag az ártéri terület feltöltésére alkalmas, melyet hidromechanizációs technológiával lehet bedolgozni. A jelenlegi felszínt képző (termőtalaj-jellegű) humuszos finomhomok, illetve homokliszt a feltöltés felszínén elteregethető.
(4) A területet gyakori árvízi elöntések érik, a terhelhető - alapozásra alkalmas - összlet a jelenlegi felszín alatt 4-5 m mélységben helyezkedik el, azaz magasépítési létesítmények tekintetében beépítésre jelen körülmények között csak korlátozottan alkalmas, a javasolt alapozási sík É-D-i irányban 87,50 - 89,00 mBf.
(5) A területen az építményszerkezeteket részletes talajmechanikai, mérnökgeológiai-mérnökhidrológiai vizsgálatokra alapozva kell kialakítani.
17. AZ ATOMERŐMŰ BIZTONSÁGI ÖVEZETE
19. § A Paksi Atomerőmű biztonsági övezetének kiterjedését, valamint a biztonsági övezeten belül végezhető tevékenységek körét és az ezekre vonatkozó eljárási szabályokat a nukleáris létesítmény és a radioaktívhulladék-tároló biztonsági övezetéről szóló 246/2011. (XI. 24.) Korm. rendelettartalmazza.
SAJÁTOS JOGINTÉZMÉNYEK
18. AZ ÉPÍTMÉNYEK FÖLDTANI MEGALAPOZOTTSÁGÁT SZOLGÁLÓ ELŐÍRÁSOK
20. § (1) Bármely építési munka esetén, valamint bármely építési tevékenység megkezdése előtt az alábbi esetekben vizsgálni kell a terület földtani viszonyait:
a) a 20°-nál meredekebb, a csúszás- vagy omlásveszélyes, továbbá alápincézett területek további beépítésénél,
b) az 5 m-nél nagyobb szabad magasságú földet megtámasztó építményeknél,
c) a 3 m-nél nagyobb földvastagságot érintő tereprendezéssel járó építkezések esetén (feltöltés, bevágás).
(2) Geotechnikai és mérnökgeológiai vizsgálatokkal kell megalapozni:
a) a partfalak hosszú távú állékonyságának biztosítása érdekében a 2 m-nél magasabb partfal vagy kőzetfal felületével közvetlenül érintkező építmények felújítását vagy építését,
b) a meglévő építmény alá nyúlóan, kőzetfalba mélyítetten tervezett pince építését,
c) a 15º-nál meredekebb lejtésű területeken történő építéseket,
d) a feltöltött területeken történő építéseket.
(3) Új pince nem létesíthető a közterületek alá terjeszkedően.
(4) A partfalak hatástávolságán (biztonsági zónáján), - mely egyúttal a peremvonalak (korona) és a lábvonalak (köröm) védőtávolsága is - belül, melynek szélessége, - hacsak más előírás máshogy nem rendelkezik, - megegyezik a partfal magasságával, általános előírásként kell érvényesíteni:
a) a lábvonalak védőtávolságán belül lakóépület vagy huzamos emberi tartózkodásra szolgáló építmény csak mérnökgeológiai vizsgálatokban meghatározott műszaki megoldással helyezhető el,
b) a peremvonalon - a felszíni vizek levezetését szolgáló építményeken kívül - építmény nem helyezhető el,
c) a peremvonal mögötti biztonsági zónában
ca) nagy lombkoronájú erős gyökérzetű fák nem telepíthetők,
cb) talajlazítással járó tevékenység nem végezhető,
cc) a szintkülönbségtől függetlenül kötelező a gyepesítés,
cd) nem megengedett a csapadékvíz elszikkasztása.
(5) A rendelet 1. mellékletében az SZT szelvényeken jelölt „B” jelű „közepes földtani adottságú területek” és a „C” jelű „kedvezőtlen földtani adottságú területek” lehatárolásán belül továbbá e rendeletben előírt esetekben az építési munkák végzéséhez:
a) a műszaki megoldások megalapozottságához geotechnikai (illetve magas-árterek esetében hidrológiai és árvízi) vizsgálatokat is el kell végezni;
b) üregkutatási és geotechnikai fúrásokat kell készíteni, melyeknek alapozási javaslatot is kell tartalmaznia, ahol még nem történtek meg a pince felmérések, ott a tervezés során az érintett ingatlanokkal szomszédos telkeken a pince felméréseket el kell végezni és ennek függvényében kell az épületet elhelyezni, szükség esetén a pincéket hatástalanítani (megerősíteni vagy tömedékelni) kell;
c) 20°-nál meredekebb lejtők esetében részletes talajmechanikai szakvélemény és állékonysági vizsgálat végzése szükséges;
d) a partfalak körömvonala, a Dunai hullámtér és a patakvölgyek völgytalpai környezetében részletes talajmechanikai szakvéleményt és alapozási tervet kell készíteni a beépítésekhez és a közművesítésekhez.
(6) A rendelet 1. mellékletében az SZT szelvényeken jelölt „C” jelű „kedvezőtlen földtani adottságú területek” lehatárolásán belül csak az alábbi kiegészítő műszaki beavatkozás mellett lehet a beépítéseket megvalósítani:
a) a partfalak hatástávolságán belül építeni csak a körömvonalon lehet, de csak úgy, hogy a partfalat építés előtt megtámasztó szerkezettel kell stabilizálni, vagy magának az épületnek kell - megfelelő méretezéssel - megtámasztó szerkezetként funkcionálnia, melyek műszaki előkészítéséhez geotechnikai feltárásokat és állékonysági számításokat kell készíteni;
b) intenzíven alápincézett területeken részletes üregkutatás és pincefelmérés után alapozási tervet kell készíteni; a feltárásokat részletes geotechnikai és üregkutatási szakvéleményben kell feldolgozni; valamint az új létesítmény hatástávolságába eső valamennyi pince, pinceág szakszerű tömedékelését és megerősítését el kell végezni; továbbá a beavatkozások előtt a meglévő szomszédos telkeken álló létesítmények, épületek, pincék és közművek állagát fotókkal és jegyzőkönyvekkel rögzíteni kell;
c) a kedvezőtlen altalaj adottságú területeken mindig részletes geotechnikai szakvélemény és alapozási terv készítése szükséges.
(7) Az építési munkák végzése során a 20. §-ba foglalt előírásokon túl az egyes építési övezeteknél és övezeteknél megfogalmazott földtani körülményeket is figyelembe kell venni.
(8) Meglévő alápincézett területek fölött a csapadékvíz szikkasztása nem megengedett.
(9) Közvetlen ártéren (hullámtérben):
a) építési munkát végezni csak különleges mélyalapozási technológiával, vízjogi engedély alapján, a Mértékadó Árvízszint (a továbbiakban: MÁSZ) feletti padlószinttel lehetséges, biztosítva a mindenkori MÁSZ feletti gyalogos megközelítést,
b) az építmény nem lehetetlenítheti el az árvízi védekezést és nem ronthatja le a hullámtér hidraulikai paramétereit.
18/A. Beültetési kötelezettség
20/A. §11 (1) A szabályozási terven K–Hsz jelű építési övezetben jelölt „Beültetési kötelezettség” az alábbiak szerint alakítandó ki:
a) egy sorban 6 m-es tőtávolsággal telepített fasorral,
b) legalább 3 sorban 2,0 m tőtávolságú középmagas, magas fajokból álló cserjetelepítéssel, továbbá
c) az ökológiai igényeknek megfelelő növényanyag használatával.
(2)12 A szabályozási terven K-Eü, Vi-M11 és Vi-M12 jelű építési övezetekben jelölt „Beültetési kötelezettség” az alábbiak szerint alakítandó ki:
a) két sorban egymáshoz képest feles eltolással, kötésben telepített fasorokkal,
b) 6 m-es sortávolsággal és soronként 8 m-es tőtávolsággal telepített faegyedekkel,
c) 2,0 méter tőtávolságú középmagas, magas fajokból álló cserjetelepítéssel, továbbá
d) sorfa minőségű, az ökológiai igényeknek megfelelő növényanyag használatával.
(3) A szabályozási terven G-á1 és a G-á2 jelű építési övezetekben jelölt „Beültetési kötelezettség” a meglévő kifejlett faállomány megtartásával és kiegészítésével a hiányzó szakaszokon az alábbiak szerint alakítandó ki:
a) két sorban egymáshoz képest feles eltolással, kötésben telepített fasorral,
b) 8 m-es sortávolsággal és soronként 8 m-es tőtávolsággal telepített faegyedekkel,
c) 2,0 m tőtávolságú középmagas, magas fajokból álló cserjetelepítéssel, továbbá
d) az útügyi előírásoknak megfelelő minőségű, az ökológiai igényeknek megfelelő növényanyag használatával.
(4)13 A szabályozási terven az Lke–1.1 jelű, a Vi-M10 jelű építési övezetben és a Kb-me és a Kb-H/ih–2 jelű övezetben jelölt „Beültetési kötelezettség” az alábbiak szerint alakítandó ki:
a) a 10 m széles és az annál keskenyebb beültetési kötelezettségű területeket egy sorban legfeljebb 10 m tőtávolsággal telepített fasorból és 2,0 méter tőtávolságú középmagas, magas növekedésű cserjesávból álló többszintes növényállománnyal kell kialakítani,
b) a 10 m-nél szélesebb beültetési kötelezettségű területeket legalább 2 sorban kötésben, legfeljebb 10 m tőtávolsággal telepített fasorból és 2,0 méter tőtávolságú középmagas, magas növekedésű cserjesávból álló többszintes növényállománnyal kell kialakítani, továbbá
c) sorfa minőségű, az ökológiai igényeknek megfelelő növényanyag használatával.
(5)14 „Beültetési kötelezettség”-ként a 34. § (5) bekezdés d) pontjának megfelelően telepített faegyedek a parkoló fásításba beszámíthatóak.
KÖZLEKEDÉSRE ÉS KÖZMŰELLÁTÁSRA VONATKOZÓ ELŐÍRÁSOK
19. PARKOLÁSI ÉS SZEMÉLYGÉPJÁRMŰ ELHELYEZÉSI ÖVEZETEK ELŐÍRÁSAI
21. § (1) Gépjármű várakozóhelyek közterületen történő elhelyezésére az SZT-ben közlekedési területként megjelölt területeken és az önkormányzat közterületi parkolást szabályozó rendelete alapján van lehetőség.
(2) Egynél több lakó funkciójú rendeltetési egység létesítése esetében, az új lakásokra vonatkozóan, a rendelet rendelkezéseivel összhangban, az OTÉK-ban meghatározott számú gépjármű-várakozó hely 1,5x-esét kell - a kerekítés szabályai szerint - biztosítani a rendeltetésszerű használathoz.
(3) Lakásonként 1 db gépjárművet zárt gépkocsitárolóban kell elhelyezni.
20. KÖZMŰVESÍTÉS ÉS ÁLTALÁNOS ELŐÍRÁSAI
22. § (1) A meglevő és a tervezett vízellátás, vízelvezetés (szenny- és csapadékvíz), energiaellátás (villamosenergia ellátás, földgázellátás, távhőellátás), valamint az elektronikus hírközlés és egyéb gyengeáramú szolgáltatás hálózatai és létesítményei, továbbá azok ágazati előírások szerinti biztonsági övezeteik számára közműterületen vagy közterületen kell helyet biztosítani. Ettől eltérő esetben - ha azt egyéb ágazati előírás nem tiltja - a közművek és biztonsági övezetük helyigényét szolgalmi jogi vagy vezetékjogi bejegyzéssel kell fenntartani.
(2) Új út építése, út rekonstrukciója esetén:
a) a tervezett közművek egyidejű megépítéséről,
b) a meglevő közművek szükséges felújításáról,
c) a csapadékvizek elvezetéséről,
d) közút esetén belterületen a közvilágítás, külterületi beépítésre szánt területen a térvilágítás megépítéséről,
e) beépítésre szánt területet feltáró magánút esetén bel- és külterületen egyaránt a térvilágítás kiépítéséről
az új út építésével, rekonstrukciójával egyidejűleg gondoskodni kell.
(3)
(4) A magas talajvízállásos, feltöltéses területen közműhálózatokat, létesítményeket építeni csak talajmechanikai szakvélemény alapján szabad.
(5)
(6)
(7) A közművesítésre kerülő területen telkenként kell a közterületi hálózathoz önálló bekötésekkel és mérési helyekkel csatlakozni.
(8) A közművek műtárgyainak és építményeinek elhelyezésekor figyelemmel kell lenni:
a)
b) környezetvédelmi szempontokra (zaj, rezgés, szag),
c) a közműhálózatokhoz való hozzáférhetőségre.
(9) Magánút alatti közműépítést is a közutakra vonatkozó előírások szerint kell végezni.
(10) A meglévő közművek egyéb építési tevékenység miatt szükségessé váló kiváltásakor:
a) a feleslegessé vált közművet, hálózatot és létesítményt el kell bontani vagy tömedékelni,
b) az indokoltan földben maradó vezeték, létesítmény betömedékelését, felhagyását szakszerűen kell megoldani,
c) új közműrendszer szakaszos kiépítése esetén a meglevő (felszámolásra tervezett) és új rendszer kapcsolatát az átépítés ideje alatt biztosítani kell.
(11) A közművezetékek átépítésekor és új vezeték fektetésekor a racionális területgazdálkodás érdekében:
a) az utak alatt a közművek elrendezésénél mindig a távlati összes közmű elhelyezésére kell helyet biztosítani,
b) a beépítésre szánt területeken a közművezetékek helyét úgy kell kijelölni, hogy
ba) 9-12 m közötti szabályozási szélességű utcákban legalább egyoldali,
bb) 12 m-t meghaladó szabályozási szélességű utcákban kétoldali fasor telepítését ne akadályozzák meg.
(12) Új építés, vagy használati mód megváltoztatása akkor lehetséges, ha:
a) a központi belterület beépítésre szánt területén biztosított:
aa) a teljes közműellátás,
ab) jelen szabályozás csapadékvízre vonatkozó előírásai teljesülnek,
ac) az építési hely vízelöntéssel, tartós vízállással nem veszélyeztetett,
b) az egyéb belterületek beépítésre szánt területén biztosított:
ba) a részleges közműellátás,
bb) jelen szabályozás csapadékvízre vonatkozó előírásai teljesülnek,
bc) az építési hely vízelöntéssel, tartós vízállással nem veszélyeztetett,
c) a beépítésre nem szánt vízbázis védelmi, vagy országos vízminőség védelmi területen, huzamos emberi tartózkodásra szolgáló építmény esetén biztosítható:
ca) a közegészségügyi hatóság által is elfogadott egészséges ivóvízellátás,
cb) a közüzemű villamosenergia-ellátás,
cc) jelen szabályozás szennyvízre és csapadékvízre vonatkozó előírásai teljesülnek,
cd) az építési hely vízelöntéssel, tartós vízállással nem veszélyeztetett,
d) a beépítésre nem szánt területen, huzamos emberi tartózkodásra szolgáló építmény esetén biztosítható:
da) a közegészségügyi hatóság által is elfogadott egészséges ivóvízellátás,
db) a közüzemű villamosenergia-ellátás,
dc) jelen szabályozás szennyvízre és csapadékvízre vonatkozó előírásai teljesülnek,
dd) az építési hely vízelöntéssel, tartós vízállással nem veszélyeztetett.
e) a beépítésre nem szánt területen, huzamos emberi tartózkodásra nem szolgáló építmény esetén a terület közművesítetlen maradhat.
21. VÍZELLÁTÁS
23. § (1) Teljes közműellátást igénylő beépítésre szánt területen új vízhálózat:
a) csak a szennyvíz közcsatorna hálózattal együtt vagy annak megléte esetén építhető,
b) fogyasztói csatlakozás nem helyezhető üzembe a szennyvíz közcsatorna hálózatra való csatlakozás üzembe helyezését megelőzően.
(2) Részleges közműellátást igénylő beépítésre szánt területen új vízhálózat csak a HÉSZ-ben megengedett szennyvízpótló kiépítésével együtt, vagy annak elfogadott megléte esetén építhető.
(3) Külterületen beépítésre nem szánt területen új közüzemű vízhálózat:
a) kizárólag közüzemű szennyvízcsatorna hálózattal együtt vagy annak megléte esetén építhető,
b) fogyasztói csatlakozás nem helyezhető üzembe a szennyvíz közcsatorna hálózatra való csatlakozás üzembe helyezését megelőzően.
22. SZENNYVÍZELVEZETÉS, SZENNYVÍZKEZELÉS
24. § (1) Új szennyvízelvezető hálózatot elválasztott rendszerrel kell építeni.
(2) A település talajmechanikai adottsága miatt, valamint a talaj, talajvíz és a felszíni vizek védelme érdekében a szennyvíz és a tisztított szennyvíz is közvetlen talajba szikkasztása, talajvízbe, állóvízbe való bevezetése a település teljes közigazgatási területén nem megengedett.
(3) A központi belterületen építeni csak a közcsatorna hálózatra való rácsatlakozással szabad.
(4) Vízbázis védelemmel és országos vízminőség védelemmel nem terhelt külterületen és az egyéb belterületeken elhelyezhető építményben keletkező szennyvizeket elsődlegesen a közcsatorna hálózatra való csatlakozással kell megoldani, de ha:
(5) A közüzemű szennyvízátemelő műtárgy védőtávolság igénye:
a) hatásterület kijelöléssel egyedileg megállapított és rögzített;
b) egyedi megállapítás nélkül:
ba) bűzzáróan és zajvédelemmel kivitelezett műtárgy esetén 20 m,
bb) bűzzár vagy zajvédelem nélküli műtárgy esetén 150 m.
(6) A szennyvíztisztító telep védőtávolsága 150 m, mely hatásterület kijelölés alapján hozott határozattal kisebb méretre is csökkenthető.
(7) Szennyvíztisztító telep és közüzemű szennyvízátemelő műtárgy védőtávolságán belül:
a) a már beépített lakó-, vegyes, különleges építési övezetbe sorolt telken építési tevékenységet végezni csak a műtárgy védőtávolság okozta terhelésének a megszüntetését követően lehet a b) pontban leírtak figyelembe vételével:
aa) vagy a beépített telek telekhatáráig kell csökkenteni a műtárgy védőtávolság igényét (a műtárgy zajvédetté és bűzzáróvá tételével, távvezérlésének megoldásával),
ab) vagy a műtárgy kiváltását kell megoldani;
b) már beépített lakó-, vegyes, különleges hasznosítású telken levő beépítés felújításán és a meglévő épület befoglaló méretén belül történő átalakításán kívül építési tevékenység nem végezhető, többlet rendeltetési egység nem hozható létre.
(8) Országos vízminőség védelmi területen, vízbázis védelmi területen fekvő beépítésre nem szánt hasznosítású, továbbá egyéb belterület beépítésre szánt hasznosítású területén, az ágazati előírások alapján megengedetten létesítendő építményekből a szennyvíz környezet károsítása nélküli kezeléséhez, ha:
a) a szennyvíz közcsatorna hálózat 200 m távolságban rendelkezésre áll, akkor a közhálózati csatlakozást ki kell építeni a keletkező szennyvíz mennyiségétől függetlenül,
b) a napi keletkező szennyvíz mennyisége nem haladja meg az 5 m3-t (200 m-nél nagyobb távolságra érhető el a közcsatorna hálózat) a szennyvizeket víz-zárósági próbával igazoltan, vízzáróan kivitelezett, fedett, zárt medencébe kell összegyűjteni és a kijelölt ürítő helyre szállítani.
c) a napi keletkező szennyvíz mennyisége meghaladja az 5 m3-t, akkor helyben létesítendő szennyvíztisztító kisberendezés is alkalmazható:
ca) ha a tisztított vizek számára a megfelelő felszíni befogadó rendelkezésre áll (tisztított vizet sem szabad talajba szikkasztani),
cb) ha az egyéb előírások, korlátok nem tiltják, valamint illetékes szakhatóságok hozzájárulnak,
cc) a kisberendezés védőterület igénye nem nyúlhat túl a tárgyi telken,
cd) a tisztítóberendezéssel azt a tisztítási hatásfokot kell teljesíteni, amit a befogadóhoz igazítva az illetékes szakhatóság meghatároz,
ce) ha bármelyik illetékes szakhatóság nem ad hozzájárulást a helyi szennyvíztisztító kisberendezés létesítésére, ki kell építeni a közcsatorna csatlakozást függetlenül attól, hogy az mekkora távolsággal érhető el.
23. FELSZÍNI VÍZRENDEZÉS, CSAPADÉKVÍZ-ELVEZETÉS
25. § (1) Vízgazdálkodási területként lejegyzett terület (tavak, árkok, vízfolyások) közlekedési, vagy egyéb építési célú hasznosítása csak vízjogi engedély alapján változtatható meg még akkor is, ha a korábbi, vízgazdálkodási célú hasznosítás fenntartása már nem indokolt.
(2) A csapadékvíz elvezetésére elválasztott rendszerű vízelvezetést kell kiépíteni.
(3) A csapadékvíz elvezetését biztosító rendszer szállítóképességét minden beruházásnál ellenőrizni kell és csak akkor valósítható meg, ha a többlet felszíni víz megfelelő biztonsággal továbbvezethető a befogadóba, amely befogadói nyilatkozattal igazolható.
(4)15 A település talajmechanikai adottsága miatt a csapadékvíz közvetlen talajba szikkasztása a település teljes közigazgatási területén – a (4a) és (4b) bekezdések kivételével – nem megengedett.
(4a)16 A jelenleg is szikkasztással rendezett víz-elvezetésű utak kapacitásbővítő fejlesztése esetén, a szabályozási tervlapon jelölt szikkasztással rendezett vízelvezetésű útszakaszoknál a szikkasztás is megengedett, amennyiben a szakági engedélyezési tervek készítésekor tervezői nyilatkozat igazolja, hogy a szikkasztás nem jelent kockázatot sem az érintett területre, sem Paks város közigazgatási területére.
(4b)17 A település teljes közigazgatási területén szikkasztásos csapadékvíz elhelyezés csak abban az esetben alkalmazható, ha a csapadékvíz elhelyezésre geotechnikai vizsgálatokkal, továbbá talajmechanikai és geotechnikai szakvéleménnyel alátámasztott dokumentáció készül, amely nem a lokális elszikkasztás kérdéskörére korlátozódik, hanem a talajvízáramlást figyelembe véve a befogadóig rögzíti a kockázatokat és ez alapján a szakértői nyilatkozat igazolja, hogy a szikkasztás nem jelent kockázatot sem az érintett területre, sem a meglévő nukleáris létesítményekre, sem Paks város közigazgatási területére.
(4c)18
(5) Bármely hatósági engedély köteles építés, vagy burkolt felület növekedésével járó építési tevékenységgel egyidőben a telken belül kell a többlet csapadékvizek visszatartását megoldani. A víz visszatartását szolgáló vízzáróan épített medencéből a vizet csak késleltetve, fékezetten lehet a közhálózatba (akár zárt csapadékcsatorna, akár nyílt árkos a közcsatorna hálózat) kivezetni, a befogadó nyilatkozatban előírt mennyiségnek megfelelően. A tározó méretezésekor minden többlet burkolt (illetve burkolható, az övezetre vonatkozó kötelező zöldfelületen kívüli) m2 felületre 40 liter kapacitás biztosítása szükséges. A közterületi vízgyűjtőbe való kivezetés csak a járda burkolata alatt valósítható meg.
(6) A nyílt árkos vízelvezető hálózat feletti kocsi behajtók esetén az árok vízszállító képességének megtartása érdekében az áteresz méretét úgy kell meghatározni, hogy:
a) az víz-visszaduzzasztást ne okozzon, és
b) a vízszállítás akadálymentes legyen.
(7) Ha a vízgazdálkodási terület jogi, földhivatali nyilvántartási helye a valóságban elfoglalt helyétől eltér, a földhivatali helyét kell figyelembe venni.
(8) Vízfelületek karbantartásának céljára biztosítandó parti sávot a középvízi medertől kell kijelölni és azt vízgazdálkodási területként kezelni. A középvízi meder kijelölése hiányában, annak kijelöléséig a parti sáv méretével azonos sávot a meder telek határától kell kijelölni és szabadon hagyni a mederkarbantartó számára.
(9) Hullámtérbe, nagyvízi meder területére csak az arra vonatkozó előírásokban megengedett területhasznosítás valósítható meg, attól eltérő új területhasznosítás nem jelölhető ki.
(10) A hullámtéri, nagyvízi meder területére vonatkozó jogszabályban megengedett hasznosítástól eltérő, de már hatályos, vissza nem vonható, elfogadott területhasznosítás megvalósításhoz az illetékes vízügyi hatósággal egyeztetve kell egyedileg a védelmi igényt meghatározni és annak teljesítése a beruházás megvalósításának feltétele, továbbá a tervezett épület hasznos padlószintje nem lehet a mértékadó árvízszint +1m-nél alacsonyabban.
(11) A hullámtéri, nagyvízi meder területére vonatkozó jogszabályban megengedett hasznosítástól eltérő új hasznosítás csak akkor lehetséges:
a) ha az árvíz elleni védelem már kiépült, illetve megoldott,
b) az árvízi védelem kiépítése, kialakítása az illetékes hatóságokkal engedélyezett módon történt,
c) a terület mentetté vált és annak a szükséges átminősítése is megtörtént.
24. MEGÚJULÓ ÉS EGYÉB ENERGIATERMELÉS
26. § (1) Technológiai létesítmények, energiatermelő berendezések közül:
25-27.
ÉPÍTÉS ÁLTALÁNOS ELŐÍRÁSAI
28. ÁLTALÁNOS ELŐÍRÁSOK
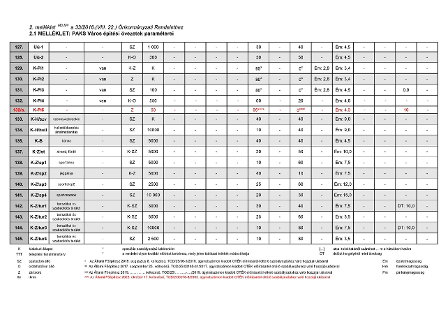
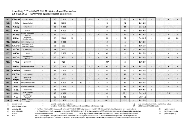
30. § (1) Az építési övezetben újonnan kialakítható legkisebb telekméret - (2)-(4) bekezdésekben foglaltak kivételével - a visszamaradó építési telkekre is érvényesítendő.
(2) A szabályozási terven kötelező szabályozási elemmel meghatározott telekalakítás minden esetben végrehajtható, akkor is, ha a telek területe, egyéb mérete az övezetben előírt minimális méret alá csökken, illetve eleve kisebb az előírt telekminimumnál, valamint akkor is, ha a telek megengedett legnagyobb beépítési mértéke a határértéket meghaladja. Az ilyen telekalakítás során létrejövő telket kialakult telekként kell figyelembe venni.
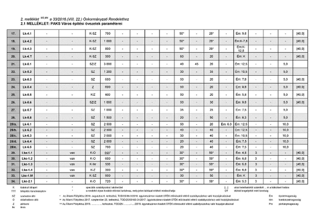
(3) Az Lk, Lke és Lf jelű építési övezetekbe sorolt ingatlanok két utcáról megnyitható, legalább 800 m2-es, 1999. december 31. előtt kialakult telkeinek kettéosztása akkor is engedélyezhető, ha a megosztás során kialakuló telkek területe és mélysége eléri az építési övezetre a 2.1 melléklet táblázatában előírt minimális méret felét.
(4) A 2.1 melléklet „E” oszlop építési övezeti előírásaiban szereplő jelek magyarázata:
a) ahol a beépítési magasság értéke „K”, ott az övezetben új telek nem alakítható ki, kivéve a „Gip-M” jelű építési övezeteket - ahol az üzemeltetéshez szükséges telekalakításokat az „alövezetek”-ben kialakult telekmérethez kell igazítani;
b) „TTT” - a telekméretet a készítendő telepítési tanulmánytervben kell megállapítani.
31. § (1) Az építési helyet meghatározó minimális elő-, oldal- és a hátsókert méreteket az adott beépítési mód alapján az 5. § (8) bekezdés előírásai szerint kell megállapítani. Az ettől eltérő helyi előírásokat az építési övezeti előírások vagy az SZT rögzítik.
(2)19 Lakóövezetekben a telkeken az utcai telekhatártól számított 40 m-es sáv határozza meg az építési hely hátsó határát, azaz a hátsókert mérete az adott építési telken a 40 m-en túli területsáv. Értelemszerűen a 40 m-es és az annál kisebb telken a hátsókert mérete 0,0 méter. Az ettől eltérő előírásokat a HÉSZ övezeti előírásai és/vagy az SZT rögzítik.
(3) Az OTÉK-ban meghatározott hátsókertben elhelyezhető építmények és melléképítmények kizárólag a (2) bekezdés szerinti méreten túli 10 m területsáv hátsó határáig létesíthetőek.
(4) A 2.1 melléklet „D” oszlop beépítési mód előírásokban szereplő jelek magyarázata:
a) ahol a beépítési mód jele „K”, ott az övezetben a beépítési mód nem módosítható,
b) ahol a beépítési mód jele „K-O, K-SZ, K-Ikr, K-Z, K-SZ/Ikr, K-Z/SZ”, ott az övezetben a beépítési mód kialakult beépítési módok alapján állapítandó meg. „K” jelhez kapcsolt beépítési mód (pl. O) akkor érvényesítendő, ha a kialakult állapot nem állapítható meg,
c) ahol a beépítési mód jele „O/SZ, O/Z, Z/O, SZ/O, K/Z, SZ/Z, SZ/Ikr, Z/SZ”, ott az övezetben az előírt beépítési módok alternatív megoldásként választhatóak, de csak az adott tömbre egységes érvénnyel,
d) ahol a beépítési mód jele „TTT”, ott a beépítési módot a készítendő telepítési tanulmánytervben kell megállapítani.
(5) Amennyiben zártsorú beépítésnél a szomszédos épület(ek)nek az építési telek felé nem megszüntethető eresz túlnyúlása van, az új épület tűzfalát a telekhatártól legfeljebb 80 cm csurgó távolságra lehet építeni.
32. § (1) A 2.1 és 2.2 melléklet „N” oszlop szerint megengedett legnagyobb épületmagasság értéke:
a) az építési hely 0-5% közötti lejtése esetén a legnagyobb épületmagasság értékét az épület közterület felé néző valamint a szomszédos telekhatártól 3 m-en belül álló homlokzatain homlokzatmagassági értékként is teljesíteni kell;
b) az építési hely 5% fölötti lejtése esetén az épületmagasságot az OTÉK szerint kell megállapítani;
c) külterületen, valamint belterületen a Gksz és Gip építési övezetekben a termeléssel összefüggő technológiai jellegű építmények, mint például kémények, tornyok, terményszárítók építése esetén az előírt épületmagasságtól, ha azt az alkalmazni kívánt technológia indokolja, el lehet térni, mely eltéréshez a főépítész véleményét be kell szerezni.
(2) A 2.1 melléklet „M” oszlop szerint megengedett legkisebb épületmagasság érték - amennyiben szabályozásra kerül - a főrendeltetésű épületre vonatkozik.
(3) Az övezeti előírásokban szereplő jelek magyarázata:
a) ahol a beépítési magasság értéke „K”, ott az övezetben az épületmagasság nem változtatható, kivéve a „Gip-M” jelű építési övezeteket - ahol a kialakult épületmagasságoktól a technológiai szempontból indokolt mértékben el lehet térni;
b) azokban az övezetekben, ahol a beépítési magasság értéke „K-7,8” vagy „K-12,8”, az épületmagasság a kialakult méret és a maximális méret között változhat.
33. § (1) Az egyes építési telkek beépítettségét a 2.1 és 2.2 melléklet „J” oszlopában rögzített értékek szerint kell megállapítani az alábbi bekezdésekben foglalt eltérésekkel.
(2) A város speciális szabályozású lakóterületein a 900 m2-t el nem érő telkek legnagyobb beépítettségét - felmentéssel - a telekterület függvényében az alábbiak szerint kell megállapítani:
legnagyobb beépítettség (%)= |
(150 m2 x 0,75) + (Telekterület - 150 m2) x 0,21 |
X 1400 |
legnagyobb beépítettség (%)= |
(200 m2 x 0,75) + (Telekterület - 200 m2) x 0,43 |
X 100 |
28/A. SZÁLLÁS JELLEGŰ ÉPÜLETEKRE ÉS SZÁLLÁS JELLEGŰ IDEIGLENES ÉPÜLETEKRE VONATKOZÓ ELŐÍRÁSOK
33/A. § (1) Szállás jellegű épületek a G jelű építési övezetekben nem létesíthetők.
(2) Szállás jellegű ideiglenes épületek kizárólag az alábbi G jelű építési övezetekben OTÉK alóli eltéréssel létesíthetők:
a) Gksz esetén: Gksz-1.1-1.5, Gksz-3.1-3.3 jelű építési övezetekben;
b) Gip esetén: Gip-1.1-1.5, Gip-2.1-2.2, Gip-3 jelű építési övezetekben.
(3) Szállás jellegű ideiglenes épületek az (2) bekezdés a) pontjában fölsorolt
a) Gksz-1.4 jelű építési övezetekben a Kölesdi út tengelyétől mindkét irányban mért 150 m-es sávban, továbbá
b) Gksz-3.1 jelű építési övezetek esetén a Molnár-ároktól északra eső ingatlanokon
nem létesíthetők.
29. ZÖLDFELÜLETEKRE VONATKOZÓ ELŐÍRÁSOK
34. § (1) A zöldfelület legkisebb mértékét az övezeti előírások „L” oszlopában rögzített értékek szerint kell megállapítani, - az OTÉK vonatkozó előírásainak figyelembevételével - az alábbi bekezdésekben foglalt eltérésekkel:
(2) Az övezeti előírások „L” oszlopában szereplő jelek magyarázata:
a) ahol a zöldfelületi mérték „K”, ott az övezetben a zöldfelület nem változtatható,
b) „20*”, 40*, 50* - azon építési övezetekben, melyekben a zöldfelület „csillaggal jelzett”, a zöldfelület legkisebb mértékét a beépítettség függvényében kell megállapítani, a speciális szabályozású lakóterületekre vonatkozó szabályok szerint,
c) „TTT” - a zöldfelület mértékét a készítendő telepítési tanulmánytervben kell megállapítani.
(3) Az előírt legkisebb zöldfelület értékének számításakor az alábbi mértékekben vehetők figyelembe:
a) a 0,5 m-nél keskenyebb, ill. 1,0 m2-nél kisebb zöldfelület 0%
b) a burkolatok:
ba) szilárd és ömlesztett 0%
bb) gyeprácsos (fa, fém vagy műanyag rács) 50%
bc) gyephézagos (hézagos beton kiselem vagy lap) 10%
c) a tetőkertek az OTÉK előírásának - OTÉK 5. melléklete - megfelelően.
(4) Az építési övezetek előírt legkisebb zöldfelületein fatelepítés az alábbiak szerint kötelező:
a) minimum 1 db fa / 100 m2 zöldfelület,
b) telepítéskor 1 m magasságban mért minimum törzskerület: 16-18 cm (minimum 5 cm törzsátmérő) és legalább kétszer iskolázott (2xi) szabvány minőségű parkfa,
c) 15 éves korra minimum 5,0 m lombkorona-átmérőjűre növő lomblevelű díszfa legyen (3.2 függelék).
(4a) Egyes építési övezetekre előírt „telken belüli kötelező fasor” létesítési előírásai, ha a rendelet másként nem rendelkezik:
a) minimum egy sorban, minimum 5 m-es lombkoronát nevelő,
b) 1 m magasságban mért minimum 6 cm-es törzsátmérőjű, sorfa szabvány minőségű,
c) a telekhatárhoz 2,5 m-nél nem közelebb,
d) legfeljebb a 15 éves kori lombkorona-átmérővel megegyező tőtávolsággal
kell telepíteni.
(4b) Egyes építési övezetekre előírt „telken belüli kötelező zöldsáv” létesítési előírásai, ha a rendelet másként nem rendelkezik:
a) a fák tő- és sortávolsága nem lehet nagyobb, mint a fafaj 15 éves kori lombkorona-átmérője,
b) a szélső fasor törzse a telekhatárhoz nem kerülhet közelebb, mint 2,5 m,
c) a tövek soronként egymáshoz képest feles eltolással kell, hogy álljanak,
d) 1 m magasságban mért minimum 6 cm-es törzsátmérővel
kell telepíteni.
(5) Személygépkocsi parkolóhelyek fásítására vonatkozó előírások:
a) minden megkezdett 4 db parkolóhelyenként legalább 1 db - lomblevelű díszfa telepítése szükséges, mely a telepítéskor 1 m magasságban minimum 18-20 cm törzskerületű (minimum 6 cm törzsátmérőjű), és legalább kétszer iskolázott (2xi) szabvány minőségű sorfa,
b) az a) pont minimum lombkorona átmérőre vonatkozó előírását nem kell alkalmazni abban az esetben, ha a fa törzse és az építmény homlokzata közötti távolság kisebb, mint 3,0 m,
c) ha a díszfa parkoló szigetben áll, akkor annak minimum 1,44 m2/fa (legkisebb oldalméret: 1,2 m) szabad talajfelületet kell biztosítani,
d) ha a díszfa a parkolóterületen kívül áll, a fatörzs középpontja a burkolat szegélyétől 1,0-2,0 m között kell, hogy legyen,
e) a fák tőtávolsága nem lehet több, mint a 15 éves kori lombkorona-átmérő (3.2 függelék).
(6)20 A szabályozási terven „megtartandó faegyed, fasor”-ként jelölt fák, fasorok egyedei megőrzendők, a hiányzó, sérült beteg egyedek azonos fafajtával pótlandók.
29/A. EGYÉB ÁLTALÁNOS ELŐÍRÁSOK
35. § (1) A város építési övezeteiben az egyes építési telkek csak az alábbi közművesítettség feltételeinek teljesítése esetén építhetők be:
a) a központi belterület építési övezeteiben teljesülnie kell a teljes közműellátás feltételeinek a gáz és a távhő biztosításának kivételével;
b) a Gip-2 jelű építési övezetekben a szennyvízközmű közműpótló berendezéssel nem helyettesíthető;
c) a város beépítésre szánt területeinek egyéb belterületi (Biritó, Csámpa, Cseresznyés, Gyapa) valamint nem belterületi építési övezeteiben részleges közműellátás, továbbá a közterületi nyílt rendszerű csapadékvíz-elvezetés együttes megléte esetén.
(2) A megengedett igénybevételi, kibocsátási, szennyezettségi határértékeket a vonatkozó magasabb rendű jogszabályok, valamint a HÉSZ 17. § előírásai szerint kell meghatározni.
(3) Terepszint alatti építmény:
a) a telekhatáron belül bárhol létesíthető, ahol nem gátolják építéshidrológiai, mérnökgeológiai vagy más geotechnikai adottságok illetve nem veszélyeztet más építményeket és nyomvonalas létesítményeket;
b) csak az építési helyen belül emelkedhet ki a terepszintből.
(4)21 A város egyes sajátos rendeltetésű övezeteiben az alábbi meghatározott létesítmények illetve meghatározott funkciójú létesítmények helyezhetők el:
a) A „Vt – M, és Vi-M” jelű építési övezetek:
aa) Az építési övezet a város szempontjából kiemelkedően fontos, hagyományosan az adott települési helyhez kötődő, illetve arra kijelölt – meghatározott rendeltetésű létesítmények területeit foglalja magában. Az övezet területein a tervben meghatározott rendeltetésű létesítmény építményei helyezhetők el – az övezeti és egyéb tervi előírások keretei között, az adott létesítményre vonatkozó sajátos követelményeknek megfelelően.
ab) Az építési övezet területein a meghatározott funkciókhoz kapcsolódó és azt kiszolgáló szolgáltató létesítmény építménye is elhelyezhető, illetve ilyen funkció is létesíthető.
b) Az „ – E” jelű építési övezet: Az építési övezet a város olyan területei, amelyek jellemzően ellátási létesítmények elhelyezésére szolgálnak.
c) A „ – G” és a „-/g” jelű építési övezet: Az építési övezet az adott területegységhez tartozó garázstömböket foglalja magában.
RÉSZLETES ÖVEZETI ELŐÍRÁSOK
BEÉPÍTÉSRE SZÁNT ÉPÍTÉSI ÖVEZETEK ELŐÍRÁSAI
30. NAGYVÁROSIAS LAKÓTERÜLET ÉPÍTÉSI ÖVEZETEK ELŐÍRÁSAI (Ln)
36. § (1) A nagyvárosias lakóterületek a város un. telepszerű, többszintes beépítésű lakótelepeit foglalja magában.
(2) Az egyes építési övezetek építési telkein betartandó telekalakítási és beépítési előírásokat a 2.1 melléklet táblázat tartalmazza.
(3) -(4)
(5) Tömbtelken álló úszótelkes épület jelenlegi határvonalat meghaladó bővítése, átépítése csak az SZT-ben szabályozási vonallal jelölt területen belüli úszótelek bővítésével történhet.
31. KISVÁROSIAS LAKÓTERÜLET ÉPÍTÉSI ÖVEZETEK ELŐÍRÁSAI (Lk)
37. § (1) A kisvárosias lakóterület az alábbi építési övezetekre oszlik:
a) Lk-1 történelmi városközpont kialakult, jellemzően kistelkes halmazos telekszerkezetű, zártsorúsodó illetve oldalhatáron álló beépítésű lakóterületei;
b) Lk-2 „Alvég” kialakult, jellemzően fésűs telekszerkezetű és kistelkes, zártsorúsodó illetve oldalhatáron álló beépítésű lakóterületei;
c) Lk-3 történelmi város peremének kialakult, jellemzően fésűs telekszerkezetű és kistelkes, zártsorúsodó illetve oldalhatáron álló és ikres beépítésű lakóterületei;
d) Lk-4 családiházas övezetek peremén kialakult területek többszintes, többlakásos „társasházak” lakóterületei;
e) Lk-5 tervezett kisvárosias lakóterületö;
f)22 Lk–6 tervezett (Györkönyi utcai) kisvárosias lakóterület.
(2) A lakóterületen az OTÉK 12. § (2) bekezdésében szereplő építmények helyezhetők el az alábbi kikötéssel:
a) az Lk-1, Lk-2, valamint az Lk-3.1, Lk-3.2 és Lk-3.3 jelű övezetekben egy-egy építési telken az építményekben maximum négy önálló rendeltetési egység helyezhető el, melyen belül a lakás célú rendeltetési egységekre kettőnél több lakás esetén legalább 250 m2 telekterületnek kell jutni;
b)23 ha az övezeti előírás másképpen nem rendelkezik, akkor az Lk–3.4, Lk–3.5 és Lk–3.6 jelű övezetekben az elhelyezhető önálló rendeltetési egységek száma legfeljebb a 2.1 melléklet szerinti, és a lakás célú rendeltetési egységekre legalább 250 m2 telekterületnek kell jutni;
c) nem kell alkalmazni az a) pontban foglalt előírást az Lk-1.T jelű építési övezetben;
d) a szálláshely épület/ek/ben a vendégszobák száma építési telkenként nem haladhatja meg az egy-egy építési telekre az a) és b) pont szerinti maximális önálló rendeltetési egység szám másfélszeresét.
(3) Az egyes építési övezetek építési telkein betartandó telekalakítási és beépítési előírásokat a 2.1 melléklet táblázat tartalmazza.
(4) A kisvárosias lakóterületeken a melléképületek által elfoglalt terület nem haladhatja meg a teljes beépíthető terület 35%-át.
38. § (1) Az „Lk-4.T” jelű (telepszerű-többszintes) építési övezetekben a meglevő, lapostetős épületeken magastető az elsőként átalakítani kívánt épület tetőtér-beépítésére készített tervhez alkalmazkodva, az igények sorrendjében építhető.
(2) Az Lk-5.1 és Lk-5.2 (Pollack Mihály utcai) tervezett építési övezetekben az előkert mérete 5,0 m, az ettől eltérő méreteket az SZT rögzíti.
32. „Lk-1” JELŰ ÉPÍTÉSI ÖVEZETEK ELŐÍRÁSAI
39. § (1) A terület hagyományos telekstruktúrája megőrzendő.
(2) Az építési hely megállapítása során:
a) a terület épületállománya megtartásra javasolt, azok bővítés során felhasználandók, lebontásuk esetén az új épület számára irányadó építési helyként figyelembe veendők;
b)24 az épületeket előkert nélkül az utcai telekhatárra kell helyezni, ettől eltérni csak a kialakult állapotra tekintettel lehet.
(3) Kettőnél több önálló rendeltetési egység csak abban az esetben létesíthető, ha a beközlekedés nyomvonalának tengelye és a lakóhelyiségek megnyitott homlokzata között legalább 8,0 m távolság biztosítható.
(4)
(5) Az Lk-1.T (telepszerű-többszintes) jelű építési övezetekben a meglévő, lapostetős épületeken magastető az elsőként átalakítani kívánt épület tetőtér-beépítésére készített tervhez alkalmazkodva, az igények sorrendjében építhető.
33. „Lk-2” JELŰ ÉPÍTÉSI ÖVEZETEK ELŐÍRÁSAI
40. § (1) A terület hagyományos telekstruktúrája megőrzendő.
(2) Az építési hely megállapítása során:
a)25 az övezetben a lakótelkeken az utcai telekhatártól számított 35 m-es sáv határozza meg az építési hely hátsó határát, azaz a hátsókert mérete az adott építési telken a 35 m-en túli területsáv, a 35 m-es és az annál kisebb mélységű telken a hátsókert mérete 0,0 méter;
b) az OTÉK-ban meghatározott hátsókertben elhelyezhető építmények és melléképítmények kizárólag az a) pont szerinti méreten túli 10 m területsáv hátsó határáig létesíthetőek;
c)26 az épületeket főszabályként előkert nélkül, az utcai telekhatárra kell helyezni, ettől eltérni csak a kialakult állapotra tekintettel lehet;
d) az Lk-2.1 és az Lk-2.2 jelű építési övezetben a zártsorú, utcával párhuzamos gerincű beépítés az irányadó;
e)27 az Lk-2.3 jelű építési övezetben az oldalhatáron álló fésűs beépítési mód megtartandó, az oromfalas utcakép védelme érdekében a keresztszárnyak az utcai telekhatártól minimum 3,0 m-rel hátrahúzva helyezhetők el.
(3) Kettőnél több önálló rendeltetési egység csak abban az esetben létesíthető, ha a beközlekedés nyomvonalának tengelye és a lakóhelyiségek megnyitott homlokzata között legalább 8,0 m távolság biztosítható.
(4)
33/A. „Lk-5” JELŰ ÉPÍTÉSI ÖVEZETEK ELŐÍRÁSAI
40/A. § Az Lk-5.6 jelű építési övezetben
a) az épületeket lapostetős kialakítással kell építeni,
b) az OTÉK által előírt gépkocsiparkolók 100%-át zártan, terepszint alatt vagy terepszinten, de az épülettel egy tömegben kell elhelyezni.
33/B.28 „Lk–6” jelű építési övezetek előírásai
40/B. §29 (1) Az Lk–6 jelű építési övezetekben – amennyiben az építési övezet másként nem rendelkezik – kizárólag lakóépület létesíthető.
(2) Lakásonként egy gépjárműtároló a lakóépületen belül helyezendő el.
(3) Az előkert mérete 10,0 m, mely építési határvonalon kell álljon az épület KÖu jelű kiszolgáló út felőli homlokzati hosszának legalább 60%-a.
(4) A területen melléképület (mosókonyha, nyárikonyha, gépkocsi és egyéb tároló épület, növényház, üvegház, fóliasátor) nem létesíthető, a lakóépület funkcióját kiszolgáló, kiegészítő rendeltetések csak a lakóépülettel egy tömegben helyezhetők el.
(5) A területen a melléképítmények közül:
a) közmű-becsatlakozási műtárgy,
b) közműpótló műtárgy, és
c) hulladéktartály-tároló
helyezhető el.
(6) A terület felszíni csapadékvizeinek helyi visszatartására közös, vízzáróan kialakított víztároló létesítendő az Ek-r jelű övezetben.
(7) Az Lk–6.1 jelű építési övezetben
a) az épületek földszintjén, vagy önálló épületben a helyben lakók ellátását szolgáló, a lakó funkciót nem zavaró hatású kiskereskedelmi, szolgáltató, vendéglátó, kulturális, szabadidős funkciók helyezhetők el,
b) a bruttó szintterület legalább 10%-án lakások létesítendők, továbbá
c) a Zkk jelű központi zöldterülettel határos telken az épület megengedett legkisebb épületmagassága legalább 10,5 m.
(8) Az Lk–6.2 jelű építési övezetben
a) épületenként legfeljebb 20 lakás létesíthető, és
b) lakásonként legalább 230 m2 telekterület biztosítandó,
(9) Az Lk–6.3 jelű építési övezetben
a) épületenként legfeljebb 12 lakás létesíthető,
b) lakásonként legalább 260 m2 telekterület biztosítandó,
c) a nagyközépnyomású földgázvezeték biztonsági övezetének megközelítése kerítésen kívül biztosítandó, valamint
d) a mezőgazdasági területek felől a szabályozási terven jelölt helyen legalább 10 m széles „Telken belüli kötelező zöldsáv” létesítendő.
(10) Az Lk–6.4 jelű építési övezetben
a) lakásonként legalább 600 m2 telekterület biztosítandó,
b) a régészeti lelőhely védelme érdekében a hátsókert mérete legalább 25 m, és
c) a mezőgazdasági területek felől a szabályozási terven jelölt helyen legalább 10 m széles „Telken belüli kötelező zöldsáv” létesítendő.
(11) Az Lk–6.5 jelű építési övezetben
a) telkenként egy lakóépület helyezhető el, továbbá
b) lakóépületenként egy lakás létesíthető.
34. KERTVÁROSIAS LAKÓTERÜLETEK (Lke) ÉPÍTÉSI ÖVEZETEK ELŐÍRÁSAI
41. § (1) A kertvárosias lakóterület az alábbi építési övezetekre oszlik:
a) Lke-1 a város kialakult, a hagyományos családiházas, illetve csoportházas jellegét megtartó lakóterületei;
b) Lke -2 az Öreghegy területének kialakult, illetve új lakóterületei;
c) Lke -3 a Pollack Mihály utcától északra tervezett lakóterületek és a DNy-i városrész tervezett kertvárosias lakóterületei;
d) Lke -4 a Május 1. és Haladás utcai tömbbelsők tervezett új területei;
e) Lke -5 a Vácika zártkertjeiből lakóterületté alakuló területsáv;
f) Lke -Dk a Dunakömlőd új kertvárosias lakóterületei,
(2) Az egyes építési övezetek építési telkein betartandó telekalakítási és beépítési előírásokat a 2.1 melléklet táblázat tartalmazza.
(3) A kertvárosias lakóterületeken az OTÉK 13. § (2) bekezdése szerinti rendeltetések az alábbiak szerint helyezhetők el:
a) egy-egy építési telken, az építményekben maximum három önálló rendeltetési egység helyezhető el, melyen belül a lakás célú rendeltetési egységekre legalább 300 m2 telekterületnek kell jutni.;
b) az egyéb kereskedelmi szálláshely épület/ek/ben a vendégszobák száma építési telkenként nem haladhatja meg az egy-egy építési telekre megengedett maximális önálló rendeltetési egység számát, vagyis hármat (3).
(4) A kertvárosias lakóterületeken a melléképületek által elfoglalt terület nem haladhatja meg a teljes beépíthető terület 25%-át.
42. § (1) Az Lke-1.1 építési övezetben meglévő közbenső telkek, melyeket legalább 2 utca határol, és olyan saroktelkek, melyeket legalább 3 utca határol ketté oszthatók, ha a létrejövő telekméretek meghaladják a kialakítható legkisebb telekterület 80%-át.
(1a)30 Az Lke–1.1 építési övezet kereskedelmi, szolgáltató gazdasági területtel határos telekhatárai mentén 10 m szélességben növényállomány létesítendő a 20/A § előírásai szerint.
(2) Az Lke-2.2 jelű építési övezetben:
a) a kétoldali közterülettel határos telkeknél mindkét utca felöli oldalon - a telek utcai telekhatárától mért 15 méter mélységben - csak főépület, vagy erre alkalmas terepviszonyok esetén támfal garázs építhető;
b) az építési övezetben völgy felöl csak olyan épületek építhetők, amelyeknek a völgyhöz legközelebb eső homlokzati síkja nem haladja meg a 8,0 métert, - ennél szélesebb épületrész csak ettől a síktól minimum 5,0 m-re létesíthető, az épületek tetőzetét a völgy felőli oldalon kontyolni kell;
c)31 1200 m2-nél kisebb telken háromszintes növényállomány létesítése esetén a telek megengedett legkisebb zöldfelületi mértéke 60% lehet.
(3) Az Lke-3.1, Lke-3.2 és Lke-3.3 (Pollack Mihály utcai) tervezett lakóövezetekben az előkert mérete 5,0 m, az ettől eltérő méreteket az SZT rögzíti.
(4)32 Az 5. mellékletben lehatárolt Malomhegy területén az Lke–1–1, Lke–1.2, Lke–1.4, Lke–2.1, Lke–2.2 és Lke–2.3 jelű építési övezetekben
a) a hátsókert mérete az utcai telekhatártól számított 40 méteren túli telekrész, de nem lehet kisebb, mint 6,0 méter,
b) csatlakozó saroktelkek estén az egymással határos oldalkertek mérete telkenként 6,0 méter,
c) az elhelyezhető 3 rendeltetési egységből legfeljebb 2 lehet lakó funkció,
d) legfeljebb 2 főépület létesíthető, továbbá
e) lakásonként egy db gépkocsitárolót a főépületen belül kell kialakítani.
35. „Lke-4” JELŰ ÉPÍTÉSI ÖVEZETEK ELŐÍRÁSAI
43. § (1) Az Lke-4.1, 4.2, 4.3 jelű építési övezetekben építési telek kialakítására kijelölt telekalakítási egységek teljes területén, az egység területére kiterjedő telekcsoport újraosztása után van lehetőség.
(2) A lehatárolt telekalakítási egységek határvonalai - telekcsoport újraosztása során - a legfeljebb 30 m-en belüli sávban módosíthatók, amennyiben ahhoz minden érintett telektulajdonos hozzájárul.
(3) Az Lke-4.4 jelű építési övezetben ezen bekezdés hatálybalépésekor már kialakult 3. melléklet szerinti hrsz-ú, 1200 m2, illetve attól kisebb telkeken a legnagyobb beépítettség 25% lehet.
(4) Az Lke-4.5 jelű építési övezet a város laza, különösen magas zöldfelületi arányt biztosító nagytelkes, nagy villaépületekkel beépülő területe, amelyen
a) egy-egy építési telken, az építményekben maximum kettő önálló rendeltetési egység helyezhető el, melyen belül a lakás célú rendeltetési egységekre legalább 2000 m2 telekterületnek kell jutni,
b) az egyéb kereskedelmi szálláshely épület/ek/ben a vendégszobák száma építési telkenként nem haladhatja meg az egy-egy építési telekre megengedett maximális önálló rendeltetési egység számát, vagyis kettőt.
36. „Lke-5” JELŰ ÉPÍTÉSI ÖVEZETEK ELŐÍRÁSAI
44. § (1) Az SZT-ben kijelölt tömbök teljes területén építési telek a tömb területére kiterjedő, telekcsoport újraosztási terv alapján alakítható ki. Kivétel azon telek, melyet a tervezett belterületi határ mentén kívánnak megosztani. Ez abban az esetben is megosztható a belterületi határvonal mentén, ha a tervezett belterületen belül maradó telekrész nem elégíti ki az egyéb előírásokat, és/vagy a tömb egészének területére vonatkozó telekcsoport újraosztás tervei még nem készültek el.
(2) A lehatárolt telekalakítási egységek határvonalai nem módosíthatóak.
(3) Alápincézett területen az építéskor figyelembe kell vennie az építési terület pince és üregviszonyait.
(4) Az építési övezet területén a 12 m széles zsákutcák létesítésének feltételei:
a) a zsákutca végén lévő visszaforduló középpontjától 2,0 m sugarú körben kizárólag zöldfelület létesíthető;
b) a haladási céllal burkolható legszélesebb felület: 5,0 m (+ K-szegélyezés);
c) a parkolási céllal - a zöldfelület rovására - burkolható legszélesebb felület: 2,0 m (süllyesztett útszegélykővel együtt);
d) külön gyalogos járda nem létesíthető;
e) a haladási célú burkolat kizárólag az út hossztengelyébe lejtethető;
f) a parkolási célú burkolatot a zöldfelületekre kell lejtetni;
g) a burkolat kiselemes beton térkő vagy felületkezelt betonlap lehet (nem lehet élénk színű, zavaróan mintás felület);
h) kiépítése csak a teljes utcára készített „Közterület-alakítási terv” alapján történhet, de
i) a középső 5,0 m-es sáv és a telekhatárok közötti, a telek sávjába eső burkolatok és zöldfelületek kialakítását az ingatlan beépítésével együtt kell megtervezni, a telepítési tanulmány ajánlásainak figyelembevételével.
37. „Lke-Dk” JELŰ ÉPÍTÉSI ÖVEZETEK ELŐÍRÁSAI
45. § (1) A terület geomorfológiai viszonyaiból adódó építési, területhasználati kötöttségek:
a) A geokörnyezeti viszonyok miatt az építés előfeltétele a komplex vízrendezés a befogadóktól az övárkokig.
b) A területen építés csak megfelelő és az előírt közműcsatlakozások esetén lehetséges.
c) az épületszerkezeteket talajmechanikai vizsgálatok alapján kell méretezni;
d) a lösz-összlet vízérzékenysége és roskadásra való hajlama miatt az alaptesteket koszorú-szerű vasalással kell ellátni a talajvízre való érzékenységet valamennyi létesítmény tervezésénél és kivitelezésénél figyelembe kell venni;
e) a területen az újonnan épülő létesítmények részleges alápincézése - az eltérő terhelések és várható süllyedéskülönbségek miatt - nem megengedett;
f) az alapozási síkot a tereptől minimum 1,0 mélyen, a termett sárga, kemény lösz-összletben kell felvenni, 0,6-0,8 méter széles vasbeton sávalapok (síkalapozás) létesítésével.
g) a partél felöli 50 m-es sávban víztárolók, úszómedencék létesítése, továbbá talaj-lazítással és intenzív öntözéssel járó kerti művelés nem megengedett;
h) a vízi és energiaközművek épületszerkezetekkel való keresztezését védőcsőben kell átvezetni.
(2) Az Lke-Dk-1, 2, 3 jelű építési övezetekben:
a) az egyes építési telkek az oldalhatáron álló beépítési mód szabályai szerint építhetők be az alábbiak szerint:
aa) az előkert mérete 0,0 m (az épületeket előkert nélkül az utcai telekhatárra kell helyezni);
ab) az Lke-Dk1 és Lke-Dk2 jelű építési övezetekben az utcai telekhatártól számított 25 m-es sáv határozza meg az építési hely hátsó határát, azaz a hátsókert mérete az adott építési telken a 25 m-en túli területsáv,a 25 m-es és az annál kisebb telken a hátsókert mérete 0,0 méter;
ac) az OTÉK-ban meghatározott hátsókertben elhelyezhető építmények és melléképítmények kizárólag az ab) pont szerinti méreten túli 10 m területsáv hátsó határáig létesíthetőek;
ad) az Lke-Dk-3 jelű építési övezetben a hátsókert mérete 6,0 m;
ae) az adott építési helyen belül az épületeket kedvezőtlen égtáj felöli oldalhatárra, és a telek utcai határára kell helyezni.
b) tömegalakítás: az épületek traktusszélessége a 8,0 métert, illetve a kialakult traktusszélességet nem haladhatja meg;
c) csak magastetős épületek létesíthetők, szimmetrikus nyeregtetővel, - a tető hajlásszöge 35-40° között lehet;
38. FALUSIAS LAKÓTERÜLET (Lf) ÉPÍTÉSI ÖVEZETEK ELŐÍRÁSAI
46. § (1) A falusias lakóterület az alábbi építési övezetekre oszlik:
a) Lf-Dk a Paks- Dunakömlőd városrész falusias lakóterületei;
b) Lf -Gy a Paks-Gyapa városrész lakóterületei;
c) Lf- Bi, Cse, Csá a Paks-Biritó, Cseresznyés és Csámpa városrészek lakóterületei;
(2) Az egyes építési övezetek építési telkein betartandó telekalakítási és beépítési előírásokat a 2.1 melléklet táblázata tartalmazza.
(3) Az Lf jelű építési övezetekben:
a) a beépítés és az épületformálás kialakult rendjét fokozottan figyelembe kell venni;
b) egy építési telken legfeljebb két önálló rendeltetési egység helyezhető el.
39. „Lf-Dk” JELŰ ÉPÍTÉSI ÖVEZETEK ELŐÍRÁSAI
47. § (1) A lakóterület hagyományos telekstruktúrájának megtartása érdekében a lakótelkek nem vonhatók össze, a telekhatár-rendezés maximum 20,0 m-es telekszélességig lehetséges.
(2) Az Lf-Dk1 jelű építési övezetben amennyiben a megosztás partfalat érint, telekmegosztás csak a peremvonal mögött, attól minimum 10 m-re lehetséges.
(3) Az építési hely:
a)33 az övezetben a lakótelkeken a hátsókert méretét udvari partfal esetén annak körömvonalától egyéb esetekben az utcai telekhatártól számított 70 m-es sáv határozza meg, azaz a hátsókert mérete az adott építési telken a 70 m-en túli területsáv, a 70 m-es és az annál kisebb telken a hátsókert mérete 0,0 méter.
b) az övezetben a hátsókertben építmények és melléképítmények létesítése nem megengedett.
c) az adott építési helyen belül az egyes épületeket a kialakult oldalhatárra kell helyezni.
(4)
40. TELEPÜLÉSKÖZPONT TERÜLET (Vt) ÉPÍTÉSI ÖVEZETEK ÁLTALÁNOS ELŐÍRÁSAI
48. § (1) A településközpont terület az alábbi építési övezetekre oszlik:
a) Vt-1 a városközpont hagyományos beépítésű településközpont területei;
b) Vt-2 az új beépítésű településközpont területei;
c) Vt-3 az új városközpont területei;
d) Vt - M a településközpont terület sajátos rendeltetésű területei;
e) Vt - Dk Dunakömlőd városrész településközpont területei.
(2) Az egyes építési övezetek építési telkein betartandó telekalakítási és beépítési előírásokat a 2.1 melléklet táblázat tartalmazza.
41. „Vt-1” JELŰ ÉPÍTÉSI ÖVEZETEK ELŐÍRÁSAI
49. § (1) A terület hagyományos telekstruktúrája megőrzendő. Annak megváltoztatása kizárólag az alábbi esetekben lehetséges:
a) az építési övezetre előírt telekméret elérése érdekében,
b) elfogadott Telepítési Tanulmányterv alapján.
(2) Az építési hely:
a) az SZT-n jelölt építési hely irányadó építési helyként veendő figyelembe;
b) a megtartásra javasolt épületek a továbbépítés során felhasználandók, lebontásuk esetén kontúrjukkal területük az új épület számára építési helyként figyelembe veendő;
c) az épületeket előkert nélkül az utcafrontra kell helyezni, ettől eltérni csak a kialakult állapotra tekintettel lehet.
(2a)34 A Dózsa György útnak a Rosthy utca és Kossuth Lajos utca közötti szakasza mentén kijelölt Vt–1 jelű építési övezetekben
a) lakó funkció létesítése estén a lakás célú rendeltetési egységekre legalább 200 m2 telekterületet kell biztosítani, továbbá
b) a földszint utcafronti részén lakó funkció nem létesíthető.
(3)
(4) A Vt-1.K jelű építési övezetben a HÉSZ 2. melléklete 2.1. táblázatának 66/a. sorában az épület megengedett legnagyobb beépítési magassága - az épület magasságára megengedett 7,5 m-től eltérően - a tömb belsejére nézően 9,0 m lehet.
42. „Vt-2” JELŰ ÉPÍTÉSI ÖVEZETEK ELŐÍRÁSAI
50. § (1) A Vt-2.2 jelű építési övezetben
a)
b) az OTÉK által előírt gépkocsiparkolók 80%-át zártan, terepszint alatt kell elhelyezni.
(2) A Vt-2.3 jelű építési övezetben az előkert legkisebb mérete 0,00 m.
(3) Tömbtelken álló úszótelkes épület jelenlegi határvonalat meghaladó bővítése, átépítése csak az SZT-ben szabályozási vonallal jelölt területen belüli úszótelek bővítésével történhet.
42/A. „Vt-3” JELŰ ÉPÍTÉSI ÖVEZETEK ELŐÍRÁSAI
50/A. § (1) A „Vt-3.1” jelű övezetben
a) elhelyezhető funkciók: igazgatási funkciójú rendeltetési egységek elhelyezésére szolgál, de a beépített alapterület maximum 50%-áig elhelyezhetők más, az OTÉK által az intézményterületen megengedett funkciók is,
b) a szükséges parkolók 100%-ban az épület és a csatlakozó közterületek alatt kialakított mélygarázsban biztosítandók,
c) az övezet északkeleti, kötelező építési vonalán a homlokzatmagasság legfeljebb 9,0 m lehet.
(2) A „Vt-3.2” jelű övezetben
a) elhelyezhető funkciók: minden, az OTÉK által az övezetben megengedett rendeltetés,
b) a tervezett funkciók gépkocsiszükségletét 100%-ban telken belül, de azon belül is minimum 75%-ban terepszint alatt kell biztosítani,
c) a Konzervgyári sétány felé: kötelező zárt homlokzatképzés, ebben az irányban az épület homlokzatmagassága 13,5 méter lehet,
d) a tömb többi oldalán a homlokzatok tagolhatók, itt a homlokzatmagasság 10,5 méter lehet,
e) a tömbök keleti oldalán gépkocsitároló a földszinten is elhelyezhető,
f) ha a más jogszabályok által előírt parkolókon felül további (közcélú) parkoló épül (a földszinten), úgy a földszint feletti beépítési mérték további 5%- ban növelhető úgy, hogy abba a közcélú parkolók nem számítanak bele,
g) az épületeket a földszinten hátrahúzott homlokzattal árkádosítva kell kialakítani,
h) a telkek építési helyen belüli része földszinten 100%-ban beépíthető, de a földszint feletti tetőket zöldtetőként kell kialakítani,
i) földszint felett a beépítettség 50%-os lehet.
43. INTÉZMÉNYI TERÜLET (Vi) ÉPÍTÉSI ÖVEZETEK ÁLTALÁNOS ELŐÍRÁSAI
51. § (1) A területen az OTÉK 17. § (2)-(3) bekezdésekben szereplő rendeltetések helyezhetők el, az övezeti előírásokban meghatározott sajátos rendeltetés kötöttségeivel.
(2) Az egyes építési övezetek építési telkein betartandó telekalakítási és beépítési előírásokat a 2.1 melléklet táblázat tartalmazza.
(3)
43/A. „Vi-M” JELŰ ÉPÍTÉSI ÖVEZETEK ELŐÍRÁSAI
51/A. § (1) A „Vi-M1” jelű övezetben
a) elhelyezhető funkciók: egészségügyi és igazgatási funkciójú/rendeltetésű épületek,
b) sajátos rendeltetése: egészségügyi központ,
c) az új épület parkolószükségletének 100%-a telken belül, terepszinten illetve terepszint alatt biztosítandó,
d) a telken belül magánút kialakítható a parkolóegységek feltárásának biztosítására,
e) az övezetben álló épület északnyugati határvonalán a homlokzatmagasság legfeljebb 9,0 m lehet.
(2) A „Vi-M6” jelű övezetben
a) elhelyezhető funkciók: kizárólag Polgármesteri Hivatal,
b) az épület gyalogos megközelítése a csatlakozó közterekről több irányból is biztosítandó a tervezési koncepció függvényében,
c) a szükséges parkolók 100%-ban a telken belül kialakított mélygarázsban biztosítandók,
d) a telek be nem épített keleti részén kialakítandó reprezentatív köztér, mely „dísztér” jellegűen építendő ki az alábbiak szerint:
da) az átmenő gépkocsiforgalom nem megengedett, gépkocsik kizárólag fenntartási céllal hajthatnak rá,
db) túlnyomó részben burkolt,
dc) burkolata: ömlesztett ágyazaton terméskő díszburkolat,
dd) teljes felületének fásítása: min. 1 db díszfa/300 m2,
de) környezet-alakítási terv készítése kötelező.
(3) A „Vi-M7” jelű övezetben
a) elhelyezhető funkciók: kereskedelmi, szolgáltató, kulturális, közösségi szórakoztató és sport,
b) a szükséges parkolók közhasználatú funkciók esetén a környező közterületeken biztosíthatók, míg kereskedelemi, szolgáltató funkciók esetén 100%-ban épületen belül alakítandók ki,
c) az övezetben közcélú átjárás biztosítandó, az SZT-n a konzervgyár épületén keresztül jelölt „gyalogos átjárás” nyomvonaltól jobbra és balra egy-egy traktusszélességgel eltérhet,
d) az épület tetején napelemek elhelyezhetők oly módon, hogy az elemek oldalról és hátulról ne mutassanak zavaró képet a közterület felé.
(4) A „Vi-M8” jelű övezetben
a) elhelyezhető funkciók: nevelési, oktatási rendeltetést szolgáló épületek,
b) sajátos rendeltetése: oktatási,
c) a tervezett funkciók gépkocsiparkoló-szükségletét 75%-ban telken belül kell biztosítani, míg a maradék biztosítható a csatlakozó közterületeken is,
d) a Duna allé felé kötelező építési vonal: ebbe az irányba zárt épülettömeg alakítandó ki,
e) az épületek főbejáratai a Duna allé felől (észak) alakítandók ki.
(5) A „Vi-M9” jelű övezetben:
a) sajátos rendeltetése: rendészet, katasztrófavédelem,
b) technológiai jellegű építmény magassága meghaladhatja az övezetben megengedett épületmagasság értéket,
c) a burkolt felületekről a csapadékot zárt tározóba kell gyűjteni és a városi csatornahálózatba késleltetetten beengedni.
(6)35
(7)36 A „Vi-M10” jelű építési övezetben:
a) elhelyezhető épület oktatási és továbbképző központ, kereskedelmi, szolgáltató, szállásjellegű, munkásszállás, iroda, kutatás-fejlesztés, sport rendeltetést tartalmazhat,
b) az autómosó funkció fenntartható,
c) lakás nem létesíthető,
d) a beépíthetőség feltételeinek tisztázására Telepítési Tanulmányterv készítése kötelező, melynek az övezet teljes területére ki kell terjednie még akkor is, ha az építési beruházás annak csak egy részére tervezett, a terület beruházásait csak az önkormányzat által elfogadott Telepítési Tanulmánytervben foglaltaknak megfelelően szabad megvalósítani,
e) a rendeltetéshez előírt számú gépkocsi- és busz parkolóhelyet telken belül kell elhelyezni, továbbá
f) a burkolt felületekről a csapadékot zárt tározóba kell gyűjteni és a városi csatornahálózatba késleltetetten beengedni.
(8)37 A „Vi-M11” jelű övezetben:
a) az előkert mérete: 10,0 m, az eltérő méreteket az SZT tartalmazza,
b) elhelyezhető épület kereskedelmi, szolgáltató, szállásjellegű, munkásszállás, iroda rendeltetést tartalmazhat,
c) lakás nem létesíthető és legfeljebb 2 db szolgálati lakás alakítható ki,
d) a beépíthetőség feltételeinek tisztázására Telepítési Tanulmányterv készítése kötelező, melynek az övezet teljes területére ki kell terjednie még akkor is, ha az építési beruházás annak csak egy részére tervezett, a terület beruházásait csak az önkormányzat által elfogadott Telepítési Tanulmánytervben foglaltaknak megfelelően szabad megvalósítani,
e) magánút szélessége legalább 16,0 méter,
f) a rendeltetéshez előírt számú gépkocsi- és busz parkolóhelyet kizárólag telken belül szabad elhelyezni, továbbá
g) a burkolt felületekről a csapadékot zárt tározóba kell gyűjteni és a városi csatornahálózatba késleltetetten beengedni.
(9)38 A „Vi-M12” jelű övezetben:
a) elhelyezhető épület kereskedelmi, szolgáltató, szállásjellegű, rendezvényközpont, iroda rendeltetést tartalmazhat,
b) lakás nem létesíthető,
c) a beépíthetőség feltételeinek tisztázására Telepítési Tanulmányterv készítése kötelező, melynek az övezet teljes területére ki kell terjednie még akkor is, ha az építési beruházás annak csak egy részére tervezett, a terület beruházásait csak az önkormányzat által elfogadott Telepítési Tanulmánytervben foglaltaknak megfelelően szabad megvalósítani,
d) a rendeltetéshez előírt számú gépkocsi- és busz parkolóhelyet kizárólag telken belül szabad elhelyezni, továbbá
e) a burkolt felületekről a csapadékot zárt tározóba kell gyűjteni és a városi csatornahálózatba késleltetetten beengedni.
44. GAZDASÁGI KERESKEDELMI, SZOLGÁLTATÓ TERÜLET (Gksz) ÉPÍTÉSI ÖVEZETEK ÁLTALÁNOS ELŐÍRÁSAI
52. § (1) A gazdasági kereskedelmi, szolgáltató övezet az alábbi építési övezetekre oszlik:
a) Gksz-1 a Paksi Ipari Park, a hozzá településszerkezetileg kapcsolódó és a Kölesdi út és Nagydorogi út menti meglévő és tervezett kereskedelmi-szolgáltató gazdasági tevékenységek telephelyeinek területei;
b)
c) Gksz-3 az úgynevezett „déli ipari övezet” meglévő és tervezett telephelyeinek területei;
d)
e) Gksz-5 a Fehérvári út mentén tervezett telephelyek területei;
f) Gksz-6 a Gyapa, a Biritó területén valamint a külterületen meglévő és tervezett telephelyek.
(2) A területen az OTÉK 19. §-ában megnevezett építmények helyezhetők el, úgy, hogy a védőtávolságokon kívül elhelyezkedő lakó- és intézményterületek felé az üzemek együttes terhelő hatását nem növelik a megengedett mérték fölé.
(3) Az egyes építési övezetek építési telkein betartandó telekalakítási és beépítési előírásokat a 2.1 melléklet táblázat tartalmazza.
(4) -(6)
(7) A telkeken az előkertek kivételével, „telken belüli kötelező fasor” számára - ha a rendelet másként nem rendelkezik - területet kell biztosítani. A fasor telepítésének meglétét a használatbavételi engedély feltételéül kell szabni.
45. „Gksz-1” JELŰ ÉPÍTÉSI ÖVEZETEK ELŐÍRÁSAI
53. § (1) Az előkert minimális mérete: 5,0 m, az eltérő méreteket az SZT tartalmazza.
(2)39
45/A. „Gksz-2” JELŰ ÉPÍTÉSI ÖVEZETEK ELŐÍRÁSAI
53/A. § A „Gksz-2.2” jelű övezetben
a) elhelyezhető funkciók: minden, az OTÉK által az övezetre megengedett rendeltetés,
b) a szükséges parkolók 100%-ban telken belül biztosítandók,
c) az időszakos használatok figyelembevételével biztosítani kell a kialakított parkolóhelyek közcélra való használhatóságát
d) az épület tetején napelemek elhelyezhetők oly módon, hogy az elemek oldalról és hátulról ne mutassanak zavaró képet a közterület felé.
46. „Gksz-6” JELŰ ÉPÍTÉSI ÖVEZETEK ELŐÍRÁSAI
54. § (1) A dunakömlődi Gksz-6.1 jelű építési övezet területén:
a) a telephely bővítésének feltétele a környező gyepterületek vízelvezetésének megoldása;
b) a telephely bővítésekor a patak mentén, az SZT-n jelölt 50 m-es védősáv területét fásítani kell. A fásítás meglétét a használatbavételi engedély feltételéül kell szabni;
c) az SZT-n jelölt védősávban épületet, építményt, burkolt felületet elhelyezni nem lehet.
(2)40 A Gksz–6.4 jelű építési övezetben elhelyezhető épület a környezetre jelentős hatást nem gyakorló gazdasági tevékenységen kívül i
a) közösségi szórakoztató,
b) sport és
c) iroda
rendeltetést tartalmazhat.
(3)41 A Gksz–6.4 jelű építési övezetben lakás nem létesíthető.
(4)42 A Gksz–6.4 jelű építési övezetben elhelyezhető közösségi szórakoztató, sport, és iroda funkciók az építési övezet sajátos használatát nem korlátozhatják, azoktól védelmet nem igényelhetnek.
(5)43 A Gksz–6.4 jelű építési övezetben a melléképítmények közül
a) közmű-becsatlakozási műtárgy,
b) közműpótló műtárgy,
c) hulladéktartály-tároló,
d) siló, ömlesztettanyag-, folyadék- és gáztároló és
e) építménynek minősülő antennatartó szerkezet, zászlótartó oszlop
helyezhető el.
(6)44 A Gksz–6.4 jelű építési övezetben
a) az előkert mérete: 10,0 m,
b) az oldalkert mérete: 10,0 m, valamint a
c) a hátsókert mérete: 15,0 m.
(7)45 A Gksz–6.4 jelű építési övezetben a szabályozási terven jelölt helyeken „Telken belüli kötelező fasor” létesítendő.
47. IPARI GAZDASÁGI TERÜLET (Gip) ÉPÍTÉSI ÖVEZETEK ÁLTALÁNOS ELŐÍRÁSAI
55. § (1) Az ipari gazdasági terület az alábbi építési övezetekre oszlik:
a) Gip-1 a Paksi Ipari Park és a hozzá településszerkezetileg kapcsolódó meglévő és tervezett ipari gazdasági tevékenységek telephelyeinek területei;
b) Gip-2 a Duna-partnak a Molnár-ároktól délre tervezett ipari-gazdasági területei;
c) Gip-3 a vasúti pályaudvartól délre lévő tervezett ipari-gazdasági területei;
d) Gip-4 a téglagyár területe;
e) Gip-gf a gázfogadók közműépítményei és az azokhoz szükséges területek;
f) Gip-M az atomerőművi ipari-gazdasági területek (meglévő és új atomerőmű, meglévő és új alállomás, közlekedési területek, a kiégett kazetták átmeneti tárolója, továbbá atomerőművi területekhez kapcsolódó további ipari-gazdasági terület).
(2) A terület egyéb ipari terület, ahol az OTÉK 20. § (4) és (5) bekezdésében megnevezett építmények helyezhetők el.
(3) Az egyes építési övezetek építési telkein betartandó telekalakítási és beépítési előírásokat a 2.1 melléklet táblázat tartalmazza.
(4) A telkeken az előkertek kivételével, „telken belüli kötelező fasor” számára - ha a rendelet másképp nem rendelkezik - területet kell biztosítani. A fasor telepítésének meglétét a használatbavételi engedély feltételéül kell szabni.
48. „Gip-1” JELŰ ÉPÍTÉSI ÖVEZETEK ELŐÍRÁSAI
56. § (1)46
(2) Az épületet, vagy épületeket telken belül úgy kell elhelyezni, hogy azok a 6-os számú főút, a forgalmi, illetve a határoló utak felé ne alárendelt homlokzattal jelenjenek meg.
(3) A területen konténer, faház csak ideiglenesen, felvonulási épületként az építkezés időtartamára telepíthető.
(4) Az 55. § (4) bekezdése szerinti „telken belüli kötelező fasor” telepítését a telkek előkertjében is el kell végezni.
(5)47 A Gip–1.1 jelű építési övezetben elsősorban az ipari park dolgozóinak ellátását szolgáló kereskedelmi, szolgáltató rendeltetésű építmények helyezhetők el.
(6)48 A Gip–1.4 jelűépítési övezet területén az előkert mérete
a) a 6-os főút felől 25 m, és
b) „telken belüli kötelező fasor” jelölés esetén 10 m, kivéve a 6-os főút felől, ahol 25 m.
49. „Gip-2” JELŰ ÉPÍTÉSI ÖVEZETEK ELŐÍRÁSAI
57. § (1) Az egyes építési övezetek építési telkein betartandó telekalakítási és beépítési előírásokat a 2.1 melléklet táblázata tartalmazza.
(2) A Gip 2 jelű építési övezetek területén a tervezett létesítmények és területek árvízi védelmére 95,26 m Bf. magasságú feltöltési szintet kell biztosítani:
a) a feltöltést, tereprendezést - a beruházások gazdaságossága érdekében kockázatelemzés alapján, az egyéb szükséges védelmi felszerelések, eszközök biztosításával - úgy kell elvégezni, hogy az érintett töltésen belüli terület egészének egységes védelme biztosított legyen;
b) a fentiek igazolására az építmények megépítését megelőzően a partvonaltól az árvízvédelmi töltésig terjedő sáv egészére vonatkozó átfogó terep- és vízrendezési tervet kell készíttetni és engedélyeztetni az illetékes, hatáskörrel rendelkező környezetvédelmi, természetvédelmi és vízügyi hatóság(-ok)gal.
(3) A terület közműellátását a városi közműhálózatról kell biztosítani. Az árvédelmi töltést érintő közművezetékeket a teljes terület ellátására kell méretezni, melyet számításokkal kell igazolni.
(4) A területen építmények, építményszerkezetek létesítése csak részletes talajmechanikai, mérnökgeológiai-mérnökhidrológiai vizsgálattal kell megalapozni.
50. „Gip-4” JELŰ ÉPÍTÉSI ÖVEZETEK ELŐÍRÁSAI
58. § (1) A területen a meglévő üzemi tevékenységhez kapcsolódó létesítmények helyezhetők el.
(2) A területen a jelenlegi volumenű működéshez szükséges - élettartamát jelentősen nem növelő létesítmények helyezhetők el. A téglagyárral határos védett löszfal, mint természetvédelmi terület védelméről gondoskodni kell.
51. „Gip-M” JELŰ ÉPÍTÉSI ÖVEZETEK ELŐÍRÁSAI
59. § (1) A Gip-M jelű terület az alábbi építési övezetekre oszlik:
a) Gip-M/t az atomerőművek területéhez közvetlenül nem kapcsolódó, de atomerőművi ipari-gazdasági terület,
b) Gip-M/PI a meglévő atomerőmű, valamint a meglévő alállomás területe,
c) Gip-M/PII az újatomerőmű, valamint az új alállomás területe,
d) Gip-M/kkát a kiégett kazetták átmeneti tárolójának területe,
e) Gip-M/kö az atomerőművek közlekedési területe.
(2) A Gip-Mjelű építési övezetekben szükséges közművesítettség mértéke: teljesen közművesített.
(3) A Gip-M jelű építési övezetekben nem kell alkalmazni az alábbi előírásokat:
a) 10. § (3) és (4) bekezdése,
b) 55. § (4) bekezdése.
(4) A Gip-M jelű építési övezetekben a 34. § (4) bekezdés előírásait az alábbi kiegészítéssel kell alkalmazni:
a) abban az esetben, ha az előírt fatelepítési mennyiség telken belül nem teljesíthető, annak teljesítése az önkormányzat által elfogadott más területen is megvalósítható,
b) az önkormányzat a más területen való faültetés helyett az ültetés pénzbeli megváltását is előírhatja,
c) a fatelepítés az alábbi legnagyobb sűrűséggel valósítható meg: a fák tő- és sortávolsága nem lehet kevesebb, mint az adott fajra jellemző 15 éves kori lombkorona-átmérő,
d) a fatelepítés pénzbeli megváltása az alábbi módon számítandó ki:
51/A. „Gip-M/PI” JELŰ ÉPÍTÉSI ÖVEZET ELŐÍRÁSAI
59/A. § A Gip-M/PI jelű építési övezet a meglévő atomerőmű területét, továbbá a meglévő alállomás és a hozzá közvetlenül kapcsolódó villamos távvezetékek (szabadvezetékek és kábelek) területét foglalja magába. A területen a meglévő és az új atomerőmű, valamint a meglévő és az új alállomás üzemeléséhez, továbbá az új atomerőmű építéséhez szükséges rendeltetések helyezhetők el.
51/B. „Gip-M/PII” JELŰ ÉPÍTÉSI ÖVEZET ELŐÍRÁSAI
59/B. § (1) A Gip-M/PII jelű építési övezet az új atomerőmű területét (építési és felvonulási területét is), a 400/132 kV-os új alállomás, valamint a hozzájuk közvetlenül kapcsolódó villamos távvezetékek (szabadvezetékek és kábelek) területét foglalja magába. A területen az új atomerőmű építéséhez és üzemeléséhez, továbbá az új 400/132 kV-os alállomás (valamint a hozzájuk kapcsolódó villamos távvezetékek) építéséhez és üzemeléséhez szükséges rendeltetések helyezhetők el.
(2) Az építési övezet területén az előkert legkisebb mélysége: 15,0 m, kivéve, ahol azt a Szabályozási Terv másképpen jelöli.
(3) Az előkertben az alábbi építmények is elhelyezhetők:
a) portaépületek,
b) technológiai vezetékek és műtárgyaik,
c) közművezetékek és műtárgyaik,
d) villamos távvezetékek (szabadvezetékek és kábelek) és tartóoszlopaik,
e) közlekedési utak és gépjárműparkolók,
f) transzformátor állomás és kerítése.
(4) Az építési övezet területén az oldalkert legkisebb mélysége: 5,0 m.
(5) Az oldalkertben az alábbi építmények is elhelyezhetők:
a) portaépületek,
b) technológiai vezetékek és műtárgyaik,
c) villamos távvezetékek (szabadvezetékek és kábelek) és tartóoszlopaik,
d) vízkivételi művek,
e) közművezetékek és műtárgyaik,
f) közlekedési utak és gépjármű parkolók.
(6) Az építési övezet területén a hátsókert legkisebb mélysége:5,0 m.
(7) A hátsókertben az alábbi építmények is elhelyezhetők:
a) portaépületek,
b) technológiai vezetékek és műtárgyaik,
c) villamos távvezetékek (szabadvezetékek és kábelek) és tartóoszlopaik,
d) vízkivételi művek,
e) közművezetékek és műtárgyaik,
f) közlekedési utak és gépjármű parkolók.
(8) Az épületeket úgy kell elhelyezni, hogy azok oldalkerti vagy hátsókerti telekhatártól való távolsága nem lehet kisebb, mint az adott épület épületmagasságának fele.
(9) Az építési övezet Szabályozási Terven jelölt „telken belüli kötelező zöldsáv” területét az alábbi módon fásítani kell:
a) a fákat 8 m-es tő- és 8 m-es sortávolsággal - 3 sorban - kell telepíteni,
b) a szélső fasor a telekhatártól 6 m-re kell, hogy legyen,
c) a tövek soronként egymáshoz képest 4 m-rel eltolva kell, hogy álljanak,
d) a telepítéskori törzsátmérő minimum 6 cm kell, hogy legyen,
e) a fafaj a HÉSz 3.1. függelékében szereplő azon fajok közül kerülhet ki, melyek 15 éves kori koronaátmérője a 3.2. függelékben szereplők közül nagyobb vagy egyenlő 8 m-rel.
51/C. „Gip-M/kkát” JELŰ ÉPÍTÉSI ÖVEZET ELŐÍRÁSAI
59/C. § A Gip-M/kkát jelű építési övezet a működő atomerőmű engedélyezett üzemvitele során keletkezett kiégett kazetták átmeneti tárolásához szükséges építmények területét foglalja magába. A területen a kiégett kazetták átmeneti tárolásához szükséges rendeltetések helyezhetők el. A tárolás maximális ideje az első tároló modul használatba vételétől számított 50 év.
51/D.50 Általános gazdasági terület (G) építési övezetek általános előírásai
59/D. §51 (1) Az általános gazdasági terület az alábbi építési övezetekre oszlik:
a) G-á1 a Paksi Ipari Parkhoz településszerkezetileg kapcsolódó tervezett általános gazdasági terület innovációs-technológiai fejlesztések célterületévé nyilvánított része, és
b) G-á2 a Paksi Ipari Parkhoz településszerkezetileg kapcsolódó tervezett általános gazdasági terület logisztikai fejlesztések célterületévé nyilvánított része.
(2) Az épületet telken belül úgy kell elhelyezni, hogy az a 6-os számú főút, a forgalmi, illetve a határoló utak felé ne alárendelt homlokzattal jelenjen meg.
(3) Az egyes építési övezetek építési telkein betartandó telekalakítási és beépítési előírásokat a 2.1 melléklet tartalmazza.
(4) A telkeken a telekhatárok mentén az előkertek kivételével, „telken belüli kötelező fasor” számára – ha e rendelet másként nem rendelkezik – területet kell biztosítani. A fasor telepítését a használatbavételig meg kell valósítani.
51/E.52 G-á1 jelű építési övezetek előírásai
59/E. §53 (1) Környezetre jelentős hatást nem gyakorló elsősorban innovatív technológiákat alkalmazó ipari és gazdasági tevékenységi célú, továbbá kereskedelmi, szolgáltató és raktár rendeltetésű építmények elhelyezésére szolgál.
(2) Az építési övezet területén az előkert mérete a 6-os főút felől 25 m.
51/F.54 G-á2 jelű építési övezetek előírásai
59/F. §55 (1) Környezetre jelentős hatást nem gyakorló elsősorban logisztikával összefüggő ipari és gazdasági tevékenységi célú, továbbá kereskedelmi, szolgáltató és raktár rendeltetésű építmények elhelyezésére szolgál. (2) Az építési övezet területén az előkert mérete a 6-os főút felől 25 m.
60. §56
53. KÜLÖNLEGES TERÜLETEK (K) ÉPÍTÉSI ÖVEZETEK ÁLTALÁNOS ELŐÍRÁSAI
61. § (1)57 A különleges, beépítésre szánt építési övezet az alábbi építési övezetekre oszlik:
a) K-Pi a pincés területek a város pincesorainak területei;
b) K-H a települési folyékony és szilárd hulladékok kezelésére és elhelyezésére szolgáló területei;
c) K-B bányaterületek a nyersanyag kitermelés (bányászat), a nyersanyag előfeldolgozás céljára szolgáló területei;
d) K-Z jelentős zöldfelületet igénylő különleges területek elsősorban a nagy zöldfelülettel rendelkező, alacsony beépítettséget igénylő létesítmények elhelyezésére;
e)58 K-KÖ az épületnek minősülő, nem közlekedési területen belül elhelyezett közlekedési és a közlekedőket kiszolgáló építmények valamint közműtelepek területei;
f) K-Mü meglévő és tervezett mezőgazdasági üzemek, állattartó telep, terménytároló, szárító, faipari üzem, vegyes majorok területei;
g) K-Ká jellemzően az önkormányzat állattartási rendeletében meghatározott saját szükséglet mértékét meghaladó, kistermelői állattenyésztés céljára szolgál;
h) K-Ám a gazdátlan állatok elhelyezésének céljára szolgáló építmények elhelyezésének területei;
i)59
j)60 K-Hsz humánszolgáltató terület;
k)61 K–Eü egészségügyi központ területe;
l)62 K–Kk kikötői kiszolgáló terület.
(2) A területen az építési övezetekben meghatározott fő rendeltetésnek megfelelő, valamint az ahhoz kapcsolódó építmények helyezhetők el.
(3) A sajátos rendeltetésű építési övezetekben csak az adott sajátos rendeltetésű létesítmények és az azok működtetéséhez szükséges üzemi és ellátási építmények helyezhetők el.
(4) Az egyes építési övezetek építési telkein betartandó telekalakítási és beépítési előírásokat a 2.1 melléklet táblázat tartalmazza.
54. K-Pi - KÜLÖNLEGES PINCÉS TERÜLETEK ELŐÍRÁSAI
62. § (1)63 A pincesorok területén belül csak présház, valamint a borturizmushoz kapcsolódó vendéglátó, kisüzemi vagy közösségi rendeltetés helyezhető el, kivéve ha az övezeti előírások, vagy a 2.1 melléklet másképpen rendelkezik.
(2) Az épületek részére építési telket kell kialakítani.
(3) A „K-Pi1”és „K-Pi2”jelű építési övezetek sajátos előírásai
a) Présház épület a terven lehatárolt területen, a meglévő épületek által meghatározott beépítési vonalban foghíjként, illetve a beépítési vonal meghosszabbításaként építhető, a korábbi épületek helyére, lyukpincéhez igazodva.
b) Az épület terepszinti bruttó alapterülete az adott pincesorra jellemző nagyságot nem haladhatja meg. Az egyes épületek konkrét méreteit a szomszédos épületek nagyságai határozzák meg oly módon, hogy azonos beépítési módban az új épület szélessége ± 60 cm-rel térhet el.
c) A présházépületek épületmagassága 2,8-3,4 m lehet, de az illeszkedés szempontjából a szomszédos épületek homlokzatmagasságát kell alapul venni úgy, hogy az új épület homlokzatmagassága ± 50 cm-rel térhet el a környezetében álló présházépülettől.
d)-m)
(4)
(5) A fésűs beépítésű pincesorok épületei:
a) szélességi mérete maximum 6,6 m;
b) közötti távolság minimum 1,0 m;
c)-d)
(6) Közműellátásra vonatkozó előírások:
a)
b) A présházak teljes közműellátását kell biztosítani.
c) Vendéglátó, kisüzemi, közellátási funkciójú épületet és nyilvános WC-t teljes közműellátással kell kialakítani.
(7) A „K-Pi3” jelű építési övezetben kizárólag közcélú hasznosítású, fedett-nyitott szín az alábbi sajátos előírások mellett építhető:
a) Az építési övezetben csak egy építési telek alakítható ki a szabályozási terv szerint,telekmegosztás nem lehetséges.
b) a telek minden közterülettel határos oldalán az előkert minimális mérete: 0,0 m, - azaz az építési hely megegyezik a telek területével;
c)
(8) A „K-Pi4” jelű építési övezetben a lakó funkció mellett a borturizmushoz kapcsolódó kisüzemi tevékenység is elhelyezhető, amennyiben az nem jelent zavaró hatást a környezetére.
(9)64 A K–Pi5 jelű, a Kömlődi út menti lakóterületté átalakuló volt pincesor területének építési övezetében:
a) a kialakult telekstruktúra megőrzendő,
b) telkenként legfeljebb egy lakás létesíthető,
c) telkenként legfeljebb egy épület létesíthető, melynek a közterületi határvonalon kell állnia,
d) a kialakult beépítés, a telekméretek és a terepviszonyok miatt a gépjárművek elhelyezését nem kötelező telken belül biztosítani, valamint
e) lakó funkció esetén teljes közműellátás biztosítandó.
55. K-H - KÜLÖNLEGES HULLADÉKKEZELŐ ÉS - LERAKÓ TERÜLETEK ELŐÍRÁSAI
63. § (1) A terület egyes építési övezeteiben csak az adott létesítmények működtetéséhez szükséges üzemi építmények helyezhetők el:
a) K-H/szv - szennyvízkezelés;
b) K-H/hull - hulladékkezelés, ártalmatlanítás.
(2) A K-H/hull övezet 500m-es SzT-n jelölt védőövezetében lakóépület, valamint más, védendő területek, létesítmények nem helyezhetőek el.
56. K-B - KÜLÖNLEGES BÁNYATERÜLETEK ELŐÍRÁSAI
64. § (1) A bányák területén csak a bánya üzemeléséhez szükséges létesítmények építésére van lehetőség.
(2) Az építési övezet területén lévő, de nem bányatelekként nyilvántartott ingatlant - a Bányatörvény értelmében - telekalakítás céljára megosztani, vagy azon építkezni az építési hatóságnak a bányavállalkozó hozzájárulásával adott engedélyével és az engedélyben megszabott feltételek megtartásával lehet.
(3) A „Paks II. (Téglagyári Agyagbánya) - agyag” elnevezésű bányatelek felhagyása utáni rekultivációja során a „turisztikai célú” újrahasznosítás szempontjait figyelembe kell venni.
(4) Új bánya nyitása esetén a folyamatos rekultivációról az övezeti előírás szerinti minimum 40% zöldfelület biztosításával gondoskodni kell.
57. K-Z - JELENTŐS ZÖLDFELÜLETET IGÉNYLŐ KÜLÖNLEGES TERÜLETEK ELŐÍRÁSAI
65. § (1) A terület egyes építési övezeteiben a sajátos rendeltetést szolgáló illetve az ahhoz kapcsolódó ellátási (közösségi) létesítmény építésére van lehetőség.
(2) A K-Z/st jelű építési övezetben az OTÉK által előírt gépkocsiparkolók 20%-a telken belül helyezendő el, a fennmaradó 80% a telekhatártól számított 500 m-en belüli közterületen is elhelyezhető a használati egyidejűségek figyelembe vételével.
(3)
(4) A Duna mélyfekvésű árterületen lévő övezetekben építmények tervezését részletes talajmechanikai, mérnökgeológiai-mérnökhidrológiai vizsgálattal kell megalapozni.
(5) A „K-Z/tur1”, a „K-Z/tur2” és a „K-Z/tur3” jelű építési övezetekben:
a) turisztikai, lovas-, bor és falusi turizmus célú létesítmények építményei - ide értve a működtetéshez szükséges szolgálati lakást is - helyezhetők el;
58. K-Mü -KÜLÖNLEGES MEZŐGAZDASÁGI ÜZEMI TERÜLET ELŐÍRÁSAI
66. § (1) A területen a mezőgazdasági műveléshez szükséges üzemi építmények, valamint kiszolgáló rendeltetések helyezhetők el.
(2) A területen csak olyan létesítményeket lehet elhelyezni, melyek a védőtávolságokon kívül elhelyezkedő lakó- és intézményterületek felé az üzemek együttes terhelő hatását nem növelik a megengedett mérték fölé.
(3) A telkek előkertjében, valamint az egyéb telekhatárok mentén a környezetvédelmi hatóság által előírt, vagy minimum egy sor lomblevelű díszfa telepítése számára területet kell biztosítani, és a telepítést a használatbavétel feltételéül kell szabni.
(4) A mezőgazdasági üzemi területeken csak akkor létesíthető új állattartó telep, ha a telephelyen keletkező szerves trágya és hígtrágya elhelyezésére rendelkezésre áll a nitrát érzékeny terület előírásainak megfelelő terület.
59. K-Ká - KÜLÖNLEGES KISTERMELŐI ÁLLATTARTÁSRA SZOLGÁLÓ TERÜLETEK ELŐÍRÁSAI
67. § (1) A terület építési telkein elsősorban a mezőgazdasági üzemi építmények valamint a gazdaság működtetéséhez szükséges maximum 2 szolgálati lakás helyezhető el a legkisebb védőtávolságok betartásával.
(2) A területen csak olyan létesítményeket lehet elhelyezni, melyek a védőtávolságokon kívül elhelyezkedő lakó- és intézményterületek felé az üzemek együttes terhelő hatását nem növelik a megengedett mérték fölé.
(3) A telkek előkertjében, valamint az egyéb telekhatárok mentén minimum egy sor lomblevelű díszfa telepítése számára területet kell biztosítani, és a telepítést a használatbavétel feltételéül kell szabni.
(4) Kistermelői állattartásra szolgáló területeken csak akkor létesíthető új állattartó telep, ha a telephelyen keletkező szerves trágya és hígtrágya elhelyezésére rendelkezésre áll a nitrát érzékeny terület előírásainak megfelelő terület.
60. K-ÁM - ÁLLATMENHELY TERÜLETE
68. § (1) A területen elsősorban állatok elhelyezéséhez és a menhely működtetéséhez szükséges irodák és telkenként maximum 2 szolgálati lakás helyezhető el a legkisebb védőtávolságok betartásával.
(2) A telekhatárok mentén minimum egy sor lomblevelű díszfa telepítése számára területet kell biztosítani, és a telepítést a használatbavétel feltételéül kell szabni.
60/A.65
68/A. §66
60/B. K-Hsz - Humánszolgáltató terület
68/B. § (1) A K-Hsz jelű építési övezet a Paksi Ipari Parkban az Atomerőmű bővítésével kapcsolatos, elsősorban infrastruktúra-fejlesztést szolgáló rendeltetések elhelyezésére szolgál.
(2) Az építési övezet területén az alábbi rendeltetésű építmények helyezhetők el:
a) munkásszálló az építési övezet teljes területén összesen legfeljebb 400 férőhelyig,
b) az ipari park kiszolgálására, üzemeltetésére szolgáló rendeltetések,
c) kereskedelem, szolgáltatás,
d) iroda, továbbá
e) raktározás.
(3) Munkásszálló elhelyezéséhez telekalakítás az építési övezet teljes területének legfeljebb 70%-án történhet.
(4) A Gip jelű ipari terület felől mért 25 m széles sávban szállás funkció nem létesíthető.
(5) A Gip jelű ipari terület felől mért 40 m széles sávban a szállás jellegű épület lakóhelyiségének ablaka az ipari terület felé nem nézhet.
(6) A beépíthetőség feltételeinek módosítását megelőzően Telepítési Tanulmányterv készítése kötelező. A Telepítési Tanulmánytervnek az övezet teljes területére kell kiterjednie még akkor is, ha az építési beruházás annak csak egy részére tervezett.
60/C.67 K–EÜ – Különleges egészségügyi központ elhelyezésére szolgáló terület
68/C. §68 (1) A K–Eü jelű építési övezet családorvosi, üzemorvosi, és szakrendelési ellátást biztosító egészségügyi ellátó egységek, valamint a mentőszolgálat építményeinek, továbbá ezen rendeltetéseket kiszolgáló építmények elhelyezésére szolgál.
(2) Az építési övezet területén az előkert mérete:
a) „beültetési kötelezettség” jelölés esetén 10 m, továbbá
b) „telken belüli kötelező fasor” jelölés esetén 10 m.
60/D.69 - K-Kk - Kikötői kiszolgáló terület
68/D. §70 (1) A K-Kk jelű építési övezet a Duna-part gesztenyesor területrészének megújításával kapcsolatos, elsősorban kikötői kiszolgáló rendeltetések elhelyezésére szolgál.
(2) Az építési övezetben elhelyezhető építmény
a) vízi és vasúti közlekedést kiszolgáló,
b) kereskedelem, szolgáltató, vendéglátó,
c) kulturális, közösségi szórakoztató,
d) ismeretterjesztési és turisztikai célú,
e) iroda, továbbá
f) a terület fenntartásához szükséges és a területet használók ellátását kiszolgáló rendeltetést tartalmazhat.
(3) Az építési övezetben lakó és szállás jellegű funkció nem létesíthető.
(4) A rendeltetéshez előírt számú gépkocsi parkolóhely 50%-át kell biztosítani, amelyet a területen kívül, a terület 500 m-es környezetében kell elhelyezni. Az akadálymentes parkolók a területen belül is elhelyezhetők.
BEÉPÍTÉSRE NEM SZÁNT ÖVEZETEK ELŐÍRÁSAI
61. KÖZLEKEDÉSI ÉS KÖZMŰTERÜLETEK (KÖ) ÖVEZETEK ÁLTALÁNOS ELŐÍRÁSAI
69. § (1) A közlekedési területek és létesítmények legkisebb szabályozási szélességeit az SZT és HÉSZ határozza meg. A közutak, közterületek számára az SZT-ben és a HÉSZ-ben meghatározott építési területet biztosítani kell.
(2) A terv közlekedési területei:
a) KÖu jelű általános (közúti) közlekedési területek,
b) KÖk jelű kötöttpályás (vasúti) területek,
c) KÖp jelű parkolási célú közlekedési területek,
d) KÖgy jelű gyalogos prioritású közlekedési területek,
e)71 KÖv jelű vízgazdálkodási célú közlekedési terület.
(3) A KÖu jelű általános (közúti) közlekedési terület szabályozási szélességén belül csak a közút, gyalogút, kerékpárút létesítményei, berendezései és közművek létesíthetők, illetve növényzet telepíthető.
(3a)72 A Györkönyi utca menti Lk–6 jelű építési övezetek feltárását biztosító KÖu jelű közlekedési terület átmenetileg magánútként is kialakítható.
(4) A KÖk jelű kötöttpályás (vasúti) területen belül kizárólag a pálya és kereskedelmi vasút üzemeltetéséhez, működtetéséhez elsődlegesen szükséges létesítmények (vágányok, energiaellátási létesítmények, üzemi-utasforgalmi épületek, szolgálati lakások) helyezhetők el.
(4a) A KÖp jelű parkolási célú közlekedési területen belül kizárólag az alábbi rendeltetések helyezhetők el:
a) közúti személy- és teherforgalmú gépjárművek parkolói, az azt megközelítő utak és az azok fásítására szolgáló zöldfelületek,
b) a közlekedést és a közlekedőket közvetlenül szolgáló építmény (porta, védőtető, buszpályaudvar, váróépület), kizárva az önállóan telepített kereskedelmi, szolgáltató pavilont.
(4b) A KÖgy jelű gyalogos prioritású közlekedési területekre
a) „közterület-alakítási terv”-et kell készíteni - a kiviteli terveket megelőzően -, melynek léptéke legalább 1:200,
b)
c) területének minden megkezdett 300 m2-ére legalább 1 db díszfát kell telepíteni,
d) amennyiben a díszfák burkolatba kerülnek, abban az esetben azok törzse körül minimum 2,25 m2 területen víz- és légáteresztő felületet kell biztosítani,
e) közmű elhelyezés csak a terület „közterület-alakítási terv”-ével összhangban kivitelezhető.
(4c)73 A KŐv jelű vízgazdálkodási célú közlekedési területen elsődlegesen a közlekedési területhez kapcsolódó vízgazdálkodással összefüggő műtárgy létesíthető, vagy megőrizhető.
(5) A nem településszerkezeti jelentőségű közutak és magánutak elhelyezése céljára legalább a következő szélességű területeket kell biztosítani:
a) Építési telek megközelítésére szolgáló magánút: 6 m
b) Önálló kerékpárút: 3 m
c) Önálló gyalogút: 3 illetve 9 m.
(6) Meglévő, kialakult utcák esetén - ott, ahol a közlekedési területek méretei csak aránytalan ráfordítás mellett növelhetők az egyéb indokolt méretre - a biztonságos közlekedés feltételeit forgalomtechnikai eszközökkel, illetve a forgalom korlátozásával kell biztosítani.
(7) A közúthálózat egyes elemeinek tervezési osztályba való sorolását a 4. függelék tartalmazza.
62. ZÖLDTERÜLETEK (Z) ÖVEZETEK ÁLTALÁNOS ELŐÍRÁSAI
70. § (1) A terv zöldterületei az alábbi övezetekre tagolódnak:
a) Zkp - közpark,
b) Zkk - közkert.
(2) Az SZT-n zöldterületi övezetként lehatárolt területek funkcionális és zöldfelületi fejlesztésére, illetve rekonstrukciójára, valamint új parkok, kertek létesítésére csak közterület alakítási terv alapján van lehetőség.
(3) Zöldterületen építményt csak az SZT-ben kijelölt építési helyen lehet elhelyezni.
(4) A területen legfeljebb 3,5 m épületmagasságú épületek létesíthetők, legfeljebb 2%-os beépítettséggel.
63. ERDŐTERÜLETEK (E) ÖVEZETEK ÁLTALÁNOS ELŐÍRÁSAI
71. § (1) A terv erdőterületei - elsődleges rendeltetésük szerint - az alábbi övezetekre tagolódnak:
a) Ev - védelmi rendeltetésű erdőterületek,
b) Eg - gazdasági rendeltetésű erdőterületek,
c) Ek - közjóléti rendeltetésű erdőterületek,
d)74 Ek-r – rekreációs célú közjóléti rendeltetésű erdőterületek.
(2) Az erdei épület:
a) legnagyobb épületmagassága 7,5 m lehet;
b)75
c) meglévő dűlőút tengelyétől minimum 10,0 m-re helyezhető el.
(3) A meglévő, és a fenti szabályok szerint nem beépíthetőnek minősülő, beépített ingatlanokon álló épületek felújíthatók és korszerűsíthetők, illetve a már meglévő rendeltetésüknek megfelelő célra használhatók.
(4) Az erdőterületeken a konkrét építési területek kijelölését megelőzően mérnökgeológiai szempontok alapján kell vizsgálni a terület felszínmozgásra való hajlamát. Felszínmozgás veszélyes területeken mérnökgeológiai, geotechnikai vizsgálatokra kell alapozni az építési területek kijelölését, az építmények létrehozásának egyedi feltételeit.
(5)76 Az Ek-r jelű övezetben az alábbi közjóléti rekreációs rendeltetésnek megfelelő építmények helyezhetőek el:
a) szabadidő-eltöltés, pihenés, turisztika építményei, (sétaút, tanösvény, pihenőhely, esőbeálló, pavilon),
b) rekreációhoz, sporthoz kapcsolódó, testedzést szolgáló építmények (játszóhely, fitneszpark, sportpályák, BMX pálya, futópálya, erdei tornapálya, akadálypálya),
c) záportározó, az Lk–6 jelű építési övezetek felszíni csapadékvizeinek helyi visszatartására közös, vízzáróan kialakított víztároló,
d) területet használók ellátását szolgáló vendéglátó rendeltetési célú építmény, továbbá
e) a rekreációs, sport rendeltetést kiszolgáló és a terület fenntartásához szükséges építmények.
(6)77 Az Ek-r jelű övezetben lévő telken egy tömegben legfeljebb 250 m2 alapterületű épület helyezhető el.
64. MEZŐGAZDASÁGI TERÜLETEK (M) ÖVEZETEK ÁLTALÁNOS ELŐÍRÁSAI
72. § (1) A mezőgazdasági területen a növénytermesztés, az állattartás és állattenyésztés és a halászat, továbbá az ezekkel kapcsolatos termékfeldolgozás és -tárolás, valamint ezen szakasz (2) bekezdése szerinti Má-t jelű övezetekben a turisztikai célú hasznosítás építményei helyezhetők el.
(2) A város mezőgazdasági területe - építési szempontból - az alábbi területegységekre, illetve ezen belül övezetekre tagolódik:
a) Má - általános mezőgazdasági területek:
aa) Má-á - általános (jellemzően szántóföldi) mezőgazdasági övezetek,
ab) Má-ü - mezőgazdasági ültetvény övezetek,
ac) Má-t - turisztikai használatra is szolgáló övezetek,
ad) Má-k - korlátozott használatú mezőgazdasági övezetek.
b) Mk - kertes mezőgazdasági területek (jellemzően a volt zártkerti területek),
(3)79 A mezőgazdasági területen építés az OTÉK 29. § (3) – (4) bekezdéseiben foglalt előírások keretei között a 2.2 és a 2.3 melléklet táblázatai, továbbá a 6. melléklet térképlapja szerinti övezeti kötöttségekkel történhet.
(4) Az „Má-k” jelű övezetekben kizárólag az alábbi építmények helyezhetők el:
a) a nyomvonal jellegű építmények és műtárgyaik, a külön jogszabályok keretei között,
b) a köztárgyak,
c) a kutatást és az ismeretterjesztést szolgáló műtárgyak,
d) a nyilvános illemhelyek, hulladékgyűjtők,
e) a megújuló energiaforrás műtárgya - kivéve szélerőmű, szélerőmű park - amely használata során az övezetben az alaprendeltetésnek megfelelő használatot nem korlátozza, vagy attól nem igényel védelmet.
(5) Az „Má-t” jelű övezetekben állattartási létesítményként csak turisztikai célú állattartó építmény helyezhető el.
(6) Az „Má-á”, „Má-ü” illetve az „Má-t” jelű mezőgazdasági övezetekben birtoktest és birtokközpont az OTÉK 29. § (5)-(7) bekezdései szerint alakítható ki.
(7) Az övezetekben az épületek:
a) legnagyobb épületmagassága - az „Mk” jelű területek kivételével - 7,5 m lehet;
b)80
c) eresze a szomszédos ingatlanok fölé nem nyúlhat át.
(8)81 Az „Mk” jelű övezetekben:
a) minimum 720 m2-es, jogszabályoknak megfelelően megközelíthető új földrészletek alakíthatók ki;
b) épület a dűlőút tengelyétől minimum 10,00 m-re, helyezhető el;
c)82 épület földszintes, legfeljebb 4,2 m-es épületmagasságú lehet úgy, hogy a lejtős terepen az épület lejtő felőli homlokzatmagassága 5,0 m-t nem haladhatja meg, az épület tetőtere beépíthető, főtömegét jellemző tetőzet főgerinc-vonalára merőleges szélességi mérete a 7,0 m-t nem haladhatja meg, a tetőgerinc vonala a hosszoldallal párhuzamos lehet;
d)83
e) pince közterület, vagy a szomszédos telek alá nem nyúlhat, valamint kialakítása feleljen meg a terepszint alatti építményekre vonatkozó előírásoknak;
f)84
g)85 Mk övezetben a Dunakömlőd Vörösmalmi árok menti telkeken építményt elhelyezni nem lehet.
h)86 Mk övezetben a beépítés mértékébe legfeljebb a telek 6000 m2 területű része vehető figyelembe.
(9) A meglévő - és a fenti szabályok szerint nem beépíthetőnek minősülő - beépített ingatlanokon álló épületek felújíthatók, korszerűsíthetők illetve a már meglévő, rendeltetésének megfelelő célra használhatók.
(10) A mezőgazdasági területeken a konkrét építési területek kijelölését megelőzően mérnökgeológiai szempontok alapján kell vizsgálni a terület felszínmozgásra való hajlamát. Felszínmozgás veszélyes területeken mérnökgeológiai, geotechnikai vizsgálatokra kell alapozni az építési területek kijelölését, az építmények létrehozásának egyedi feltételeit.
65. VÍZGAZDÁLKODÁSI TERÜLETEK (V) ÖVEZETEK ÁLTALÁNOS ELŐÍRÁSAI
73. § (1) A területen építményeket elhelyezni csak a vízgazdálkodási szempontok figyelembevételével - külön jogszabályban foglaltak szerint - lehet.
(2) A város vízgazdálkodási területei az alábbi övezetekre tagolódnak:
a) „V-1” jelű övezet - Duna folyam medre és parti sávja
b)87 „V-2” jelű övezet - Duna menti rekreációs terület
73/A. §90 A V-2 jelű (vízgazdálkodási terület - Duna sportcélú parti sávja) területen:
a) a természetközeli vegetáció megőrzése érdekében csak olyan tereprendezés végezhető, mely a megengedett rendeltetések elhelyezésére szolgál, vagy a vízhez való lejutást segíti,
b) kizárólag rekreációs, pihenési, sport, szórakoztatási, oktatási-kutatási, kulturális, ismeretterjesztési és turisztikai célú rendeltetések helyezhetők el,
c) csak olyan rendeltetések helyezhetők el, melyekben az árvíz nem okoz visszafordíthatatlan kárt,
d)91 a rendeltetéshez előírt számú gépkocsi parkolóhelyet kizárólag telken belül szabad elhelyezni, annak telken kívüli elhelyezése kizárólag akkor lehetséges, ha arról az érdekelt és az önkormányzat településrendezési szerződésben megállapodott. Az övezet Árvíz utca és Molnár-árok közötti szakaszán gépkocsi parkolóhely nem alakítható ki.,
e) az ingatlanokat elkeríteni nem szabad,
f) a mederkarbantartási sávot szabadon kell hagyni,
g) a beruházásokat csak az önkormányzat által elfogadott Közterület-alakítási Terv birtokában szabad megvalósítani, mely Közterület-alakítási Tervnek min. 50 cm-enként szintvonalas tereprendezési tervet is tartalmaznia kell, a kijelölt ingatlan területén túli min. 10 m-es sáv meglévő szintvonalainak ábrázolásával.
66. TERMÉSZETKÖZELI TERÜLETEK (Tk) ÁLTALÁNOS ELŐÍRÁSAI
74. § Természetközeli területek a város mocsár és nádas művelési ágban nyilvántartott területei.
67. KÜLÖNLEGES, BEÉPÍTÉSRE NEM SZÁNT TERÜLETEK (Kb) ÁLTALÁNOS ELŐÍRÁSAI
75. § (1)92 A különleges beépítésre nem szánt területek a város azon sajátos felhasználású részei, melyek legfeljebb 2%-os beépítettséget igényelnek - kivéve, ha az övezeti előírások, vagy a 2.2 melléklet másképp rendelkezik.
(2) A különleges beépítésre nem szánt területeken a terület rendeltetésszerű használatát szolgáló építmények helyezhetők el.
68. KÜLÖNLEGES TURISZTIKAI TERÜLETEK (Kb-tur) ÁLTALÁNOS ELŐÍRÁSAI
76. § (1) A különleges turisztikai terület a térség turisztikai hasznosítását szolgáló sport és szabadidős területek.
(2) A területeken 3000 m2-t elérő, illetve meghaladó területnagyságú telken a térség turisztikai, sport, kemping hasznosításához és a terület műveléséhez szükséges építmények, kereskedelmi szálláshely és legfeljebb 2 lakás helyezhető el.
(3) Az épületek legfeljebb 7,50 m-es épületmagasságúak lehetnek.
(4) -(5)
(6) Az épületek meglévő dűlőút tengelyétől minimum 10,0 m-re helyezhetők el.
68/A. MEGÚJULÓ ENERGIAFORRÁSOK HASZNOSÍTÁSÁNAK CÉLJÁRA SZOLGÁLÓ KÜLÖNLEGES TERÜLETEK (Kb-me) ÁLTALÁNOS ELŐÍRÁSAI
76/A. § (1) A megújuló energiaforrások céljára szolgáló különleges terület övezete a naperőmű-parkok számára kijelölt területeket foglalja magába.
(2) Az övezetben kizárólag kutatás-fejlesztési vagy a megújuló energiaforrások hasznosításának céljára szolgáló (energiatermelési) rendeltetések és az azok üzemeltetéséhez, kiszolgálásához szükséges építmények helyezhetők el.
(3) Az övezetnek a naperőmű-parkkal el nem foglalt részét az ingatlan-nyilvántartásban szereplő művelési ágnak megfelelően kell művelni.
(4)93 A Kb-me/k jelű - megújuló energiaforrások hasznosításának céljára szolgáló különleges területek kiszolgáló területe övezet a naperőmű-parkok számára kijelölt területek kiszolgálását biztosító elektromos kapcsolóállomás, illetve alállomás építményeinek elhelyezésére szolgál.
68/B. SZABADIDŐS PARK CÉLJÁRA SZOLGÁLÓ KÜLÖNLEGES TERÜLET (Kb-szp) ELŐÍRÁSAI
76/B. § (1) A szabadidős park céljára szolgáló különleges területek a lakosság rekreációs igényeinek kielégítését célzó területeket foglalja magába.
(2) Az övezetben kizárólag az alábbi rendeltetések helyezhetők el:
a) sportolási, szabadtéri játék célú,
b) rekreációs, szabadidő-eltöltési célú.
68/C. FÁSÍTOTT KÖZTÉR CÉLJÁRA SZOLGÁLÓ KÜLÖNLEGES TERÜLET (Kb-fkt) ELŐÍRÁSAI
76/C. § A fásított köztér céljára szolgáló különleges területek a település zöldfelületi és szabadtér rendszerének részei, ahol:
a) „közterület-alakítási terv”-et kell készíteni - a kiviteli terveket megelőzően -, melynek léptéke legalább 1:200,
b)
c) területének minden megkezdett 150 m2-ére legalább 1 db díszfát kell telepíteni,
d) amennyiben a díszfák burkolatba kerülnek, abban az esetben azok törzse körül minimum 2,25 m2 területen víz- és légáteresztő felületet kell biztosítani,
e) közmű elhelyezés csak a terület „közterület-alakítási terv”-ével összhangban kivitelezhető.
68/D. KEMPING CÉLJÁRA SZOLGÁLÓ KÜLÖNLEGES TERÜLET (Kb-k) ELŐÍRÁSAI
76/D. § (1) A kemping céljára szolgáló különleges területek elsősorban a turisztikai céllal érkező látogatók rövid idejű és különböző színvonalú elszállásolását célzó területeket foglalja magába.
(2) Az övezetben kizárólag az alábbi rendeltetések helyezhetők el:
a) szállás,
b) vendéglátás, kereskedelem, szolgáltatás.
68/E. Kb-bkt Burkolt köztér célú, beépítésre nem szánt különleges terület
76/E. § A burkolt köztér célú, beépítésre nem szánt különleges területek a település zöldfelületi és szabadtér rendszerének részei, ahol:
a) „közterület-alakítási terv”-et kell készíteni - a kiviteli terveket megelőzően -, melynek léptéke legalább 1:200,
b)
c) területének minden megkezdett 300 m2-ére legalább 1 db díszfát kell telepíteni,
d) amennyiben a díszfák burkolatba kerülnek, abban az esetben azok törzse körül minimum 2,25 m2 területen víz- és légáteresztő felületet kell biztosítani,
e) közmű elhelyezés csak a terület „közterület-alakítási terv”-ével összhangban kivitelezhető.
68/F. Kb-H/ih inert hulladékhasznosító, beépítésre nem szánt különleges terület
76/F. § (1) A terület inert hulladékhasznosító rendeltetés elhelyezésére szolgál.
(2) A hulladékhasznosítási tevékenység megszűnése után legfeljebb 1 éven belül a terület rekultivációját a terület tájba illesztésével el kell végezni.
(3)94 A Kb-H/ih-2 jelű övezet
a) inert, nem veszélyes hulladék átmeneti tárolása, válogatása, osztályozása, törése, további hasznosítás céljából történő elszállítása céljára szolgál,
b) területén a szabályozási terven jelölt „Beültetési kötelezettség” létesítendő, valamint
c) területén az előírás szerinti zöldfelületi arány a telekhatárok mentén biztosítandó.
68/G.95 Kb-Dp Különleges beépítésre nem szánt Duna-parti rekreációs terület
76/G. §96 (1) A különleges Duna-parti rekreációs terület a térség Duna-parthoz kapcsolódó szabadidős, kulturális, sport-rekreációs és turisztikai hasznosítását szolgáló területe.
(2) Az övezetben elhelyezhető épület:
a) művelődési, kulturális, közösségi szórakoztató,
b) szabadidős, sport-rekreációs, turisztikai,
c) oktatás, kutatás, ismeretterjesztés,
d) látogató központ,
e) vendéglátás, szolgáltatás,
f) szállás jellegű,
g) a szabadidős, sport, rekreációs és turisztikai rendeltetést kiszolgáló és szociális építmények,
h) a terület fenntartásához szükséges építmények,
i) gyalogos, kerékpáros felüljáró, és
j) látogatóközpont épületén belül a tulajdonos vagy használó számára szolgálati lakás
rendeltetést tartalmazhat.
(3) Telken belül több önálló rendeltetésű építmény elhelyezhető.
(4) A területen a melléképítmények közül:
a) közmű-becsatlakozási műtárgy,
b) közműpótló műtárgy,
c) hulladéktartály-tároló, és
d) kerti építmény.
helyezhető el.
(5) Az övezetben az épület megengedett legnagyobb beépítési magassága gyalogos, kerékpáros felüljáró és látogató központ rendeltetés esetén 12,5 m lehet.
(6) Az övezetben egy tömegben
a) a (2) bekezdés a)–c), valamint e) pontban meghatározott rendeltetést tartalmazó épületei legfeljebb 500 m2,
b) a (2) bekezdés f)–h) pontban meghatározott rendeltetést tartalmazó épületei legfeljebb 200 m2, továbbá
c) a látogatóközpont épülete legfeljebb 1200 m2
alapterülettel helyezhető el.
(7) Az övezetben az önálló szállás jellegű rendeltetés épületei a megengedett beépítettségi mérték legfeljebb 30%-át vehetik igénybe.
(8) A látogatóközpont épületén belül kialakítható egy darab szolgálati lakás, ezen kívül lakás rendeltetés nem helyezhető el.
(9) Az övezet területén új beépítés kizárólag a mértékadó árvízszint fölött legalább plusz 1 m-rel való föltöltés esetén lehetséges.
(10) A beépíthetőség feltételeinek tisztázására Telepítési Tanulmányterv készítése kötelező. A Telepítési Tanulmánytervnek az övezet teljes területére kell kiterjednie még akkor is, ha az építési beruházás annak csak egy részére tervezett.
(11) A rekreációs terület zavartalanságának biztosítása érdekében csak az adott rendeltetéshez előírt számú gépkocsi parkolóhely 50%-át kell biztosítani. A kialakítandó parkolóhelyek fele a telket magába foglaló övezet 500 m-es körzetében is elhelyezhető.
(12) Az övezetben parkolók kialakítása a szabályozási terven jelölt a vasút melletti déli kiszolgáló út mentén 6 m szélességben, illetve az északi kiszolgáló út és az árvízvédelmi töltés közötti sávban megengedett.
(13) Az övezetben telekmegosztás csak út és közműlétesítmény elhelyezése céljából lehetséges.
(14) Az övezetben kerítés kizárólag játszókert, fitneszpark, sportpálya, közmű létesítmények lehatárolására létesíthető. A sportpályák védőkerítésének kivételével legfeljebb 1,6 m magas kerítés létesíthető.
(15) A területet a föltöltés befejezése utáni első téli időszak után 1 éven belül előfásítani kell.
(16) A terület beruházásait csak az önkormányzat által elfogadott Közterület-alakítási Terv birtokában szabad megvalósítani. A Közterület-alakítási Tervnek legalább 50 cm-enként szintvonalas tereprendezési tervet is tartalmaznia kell, mely a kijelölt ingatlan területén túli minimum 10 m-es sáv meglévő szintvonalait is ábrázolja.
EGYES SPECIÁLIS FEJLESZTÉSI TERÜLETEK ELŐÍRÁSAI
69. POLLACK MIHÁLY UTCÁTÓL ÉSZAKRA FEKVŐ LAKÓTERÜLET ELŐÍRÁSAI
77/A. § (1) A Pollack Mihály utcától északra fekvő lakóterület kisvárosias lakóterületei az alábbi építési övezetekre oszlanak:
a) Lk-5.1 jelű intenzív többszintes, többlakásos „társasházak” lakóterülete;
b) Lk-5.2 jelű többszintes, többlakásos „társasházak” lakóterülete;
c) Lk-5.7 jelű intenzív kisvárosias, kistársasházas lakóterület.
d) Lk-5.8 jelű kisvárosias, kistársasházas lakóterület.
(2)
(3) Az Lk-5.1 és 5.2 jelű építési övezetekre vonatkozó egyéb szabályozási előírások:
a) ahol építési vonal jelölt, az épület előkert felé néző homlokzatának legalább 80%-át az építési vonalra kell helyezni,
b)
c) az építési telkek teljes területére kertépítészeti tervet kell készíteni legalább 1:250 léptékben.
(4) Az Lk-5.1 jelű építési övezetben:
a) az épületek Pollack Mihály utca, valamint a Kb-s jelű övezetek felé néző homlokzatának előírásai:
aa) a homlokzatok párkánymagasságának 12,0 és 13,5 méter közé kell esnie,
ab) az épület 12,0 és 13,5 méter közé eső párkánymagasságú részének hossza nem lehet több mint 30,0 méter,
ac) a Pollack Mihály utcával, valamint a Kb-s jelű övezetek felé eső telekhatárral párhuzamos irányban a 30,0 méternél hosszabb épülettömeget meg kell szakítani egy maximum 4,5 méteres párkánymagasságú, minimum 12 méter hosszú épületrésszel.
b) az önálló rendeltetési egységek száma nem korlátozott,
c) a HÉSZ által előírt kötelezően biztosítandó gépjármű-várakozó helyek 90%-a zártan, a főépülettel egy tömbben, pinceszinti helyiségként alakítható ki,
77/B. § (1) A Pollack Mihály utcától északra fekvő lakóterület kertvárosias lakóterületei az alábbi építési övezetekre oszlanak:
a) Lke-3.1 jelű oldalhatáros beépítésű kertvárosias lakóterületek;
b) Lke-3.2 jelű sorházas beépítésű kertvárosias lakóterületek;
c) Lke-3.3 jelű szabadonálló beépítésű kertvárosias lakóterületek.
(2)
(3) Az Lke-3.1 és 3.3 jelű építési övezetekben, ahol a szabályozási terv 6,0 méter kötelező előkertet jelöl, az előkertben építési telkenként 1 db gépkocsi elhelyezését biztosító nyitott-fedett gépjármű-várakozó hely létesíthető, melynek a kerítéssel és főépülettel egységes anyaghasználattal kell készülnie.
(4) Az Lke-3.2 jelű építési övezetekben sorház-egységenként:
a)
b) ha a szabályozási tervlap másképp nem rendelkezik, az övezetben az előkert mérete 3,0 méter,
c) az épületek közterület felé néző, bejárati homlokzati fala a közterületi telekhatártól legfeljebb 6,0 méterre lehet,
d) a fedett zárt gépkocsi tároló kapuja nem kerülhet az utcai - közterület felőli - telekhatárhoz 6,0 méternél közelebbre.
77/C. §97 (1) A Pollack Mihály utcától északra fekvő lakóterület tervezett településközpont vegyes területei a Vt–2.4 és Vt–2.5 építési övezetbe tartoznak.
(2) A Vt–2.4 építési övezet elsősorban a városrész alközpontjaként annak igazgatási, kereskedelmi, szolgáltató funkcióinak elhelyezésére szolgál.
(3) A Vt–2.4 építési övezetben:
a) a csatlakozó Kb-bkt jelű övezet irányába csak gyalogos megközelítést biztosító kereskedelmi/szolgáltató funkció helyezhető el, és a szolgáltatások gyalogos megközelítését a Kb-bkt jelű övezet irányából mindenképpen biztosítani kell,
b) ahol építési vonal jelölt, az épület előkert felé néző homlokzatának legalább 90%-át az építési vonalra kell helyezni,
c) az önálló rendeltetési egységek száma nem korlátozott,
d) a HÉSZ által előírt kötelezően biztosítandó gépjármű-várakozó helyek 100%-a zártan, a főépülettel egy tömbben, pinceszinti helyiségként alakítható ki, továbbá
e) az építési telkek teljes területére kertépítészeti tervet kell készíteni legalább 1:250 léptékben.
(4) A Vt–2.4 építési övezet épületei Kb-bkt jelű övezetek felé néző homlokzatának előírásai:
a) a homlokzatok párkánymagasságának 13,0 és 14,5 m közé kell esnie;
b) az épület 13,0 és 14,5 m közé eső párkánymagasságú részének hossza nem lehet több mint 50,0 m, továbbá
c) a Pollack Mihály utcával, valamint a Kb-bkt jelű övezetek felé eső telekhatárral párhuzamos irányban az 50,0 m-nél hosszabb épülettömeget meg kell szakítani egy maximum 8,0 m-es párkánymagasságú, minimum 12 m hosszú épületrésszel.
(5) A Vt–2.5 építési övezetben
a) a csatlakozó Kb-bkt jelű övezet irányába a földszinten csak gyalogos megközelítést biztosító kereskedelmi, szolgáltató funkció helyezhető el és a szolgáltatások gyalogos megközelítését a Kb-bkt jelű övezet irányából mindenképpen biztosítani kell,
b) ahol építési vonal jelölt, az épület előkert felé néző homlokzatának legalább 70%-át az építési vonalra kell helyezni,
c) ahol a szabályozási tervlapon a „közterületi megnyitás” jel szerepel, ott az épületek földszintjén szolgáltatások is elhelyezhetők az előkert közhasználatra való átadásával, mely esetben:
ca) a szolgáltatások gyalogos megközelítését a Kb-bkt jelű övezet irányából mindenképpen biztosítani kell, és
cb) az épület és a Kb-bkt jelű övezet területe közé eső területrészen kerítés létesítése nem megengedett,
d) az önálló rendeltetési egységek száma nem korlátozott,
e) a HÉSZ által előírt kötelezően biztosítandó gépjármű-várakozó helyek 100%-a zártan, a főépülettel egy tömbben, pinceszinti helyiségként alakítható ki, melynek bejárata a Pollack Mihály utca felől nem nyílhat, továbbá
f) az építési telkek teljes területére kertépítészeti tervet kell készíteni legalább 1:250 léptékben.
77/D. § A Pollack Mihály utcától északra fekvő lakóterületen a telekre előírt legkisebb zöldfelületre illetve a „telken belüli kötelező zöldfelület”-re vonatkozó előírások:
a) a telekre előírt legkisebb zöldfelületet úgy kell fásítani, hogy
77/E. § A Pollack Mihály utcától északra fekvő lakóterületen lévő KÖp jelű parkolási célú közlekedési terület övezetében:
a) a parkolóegységeket minden megkezdett 4 álláshelyenként 1 db díszfával fásítani kell;
b) a parkolóegységekhez tartozó díszfák törzse a parkoló burkolatának szegélyeitől 1,0-2,0 m között kell, hogy legyen;
c) amennyiben a díszfák burkolatba kerülnek, abban az esetben azok törzse körül minimum 2,25 m2 területen víz- és légáteresztő felületet kell biztosítani;
d) az övezetben - a kiviteli terveket megelőzően - parkolóegységenként „közterület-alakítási terv”-et kell készíteni, melynek léptéke legalább 1:250.
77/F. § A Pollack Mihály utcától északra fekvő lakóterületen lévő Zkp jelű közpark és Zkk jelű közkert területek övezeteiben:
a) „közterület-alakítási terv”-et kell készíteni - a kiviteli terveket megelőzően -, melynek léptéke legalább 1:200,
b) építmény a „közterület-alakítási terv” alapján bárhol elhelyezhető.
77/G. § A Pollack Mihály utcától északra fekvő lakóterületen lévő Kb-s jelű övezetek azon beépítésre nem szánt területek, melyek gyalogos sétány céljára kijelöltek, ahol:
a) „közterület-alakítási terv”-et kell készíteni- a kiviteli terveket megelőzően -, melynek léptéke legalább 1:200,
b)
c) területének minden megkezdett 100 m2-ére legalább 1 db díszfát kell telepíteni,
d) amennyiben a díszfák burkolatba kerülnek, abban az esetben azok törzse körül minimum 2,25 m2 területen víz- és légáteresztő felületet kell biztosítani.
77/H. § (1) Az utcák azon szakaszainak szintjét, melyek Kb-bkt és Kb-s, illetve Kb-s és Kb-s jelű övezetek között vannak, az övezetek csatlakozásának teljes hosszában:
a) ki kell emelni az útburkolat szintjéből, a Kb jelű övezetek burkolatának szintjére,
b) az utcák burkolatát e szakaszon meg kell szakítani és a csatlakozó Kb jelű övezet burkolatával megegyező módon kell kialakítani.
(2) A Kb-bkt jelű övezet területén a „közterület-alakítási tervnek” forgalomtechnikai tervvel összhangban kell készülnie, melynek biztosítania kell a gyalogos forgalom prioritását.
(3) A Kb-s jelű övezetben a „közterület-alakítási tervnek” biztosítania kell a gyalogos forgalom kizárólagosságát.
(4) A Kb-s és Kb-bkt jelű övezetben közmű elhelyezés csak a terület „közterület-alakítási terv-ével” összhangban kivitelezhető.
77/I. § A Pollack Mihály utcától északra fekvő lakóterületen:
a) a teljes közműellátás kiépítése szükséges,
b)98 az Lk–5.1, Lk–5.2, Vt–2.4 és Vt–2.5 jelű övezetek területén megvalósuló épületek energiaellátásánál a távhőszolgáltatás igénybevételét kell előnyben részesíteni,
c) közüzemű szennyvízátemelő műtárgy csak zajvédelemmel és bűzzárral ellátottan építhető, a műtárgy és az egyedileg megállapított védőtávolság igénye építési telekre nem eshet,
d) valamennyi telken telkenként kell a beépítés okozta többlet csapadékvizek visszatartását megoldani. A víz visszatartását szolgáló vízzáróan épített helyi záportározó medencéből a vizet csak késleltetve, fékezetten lehet a közhálózatba kivezetni. A tározó méretezésekor minden új burkolt (illetve burkolható, az övezetre vonatkozó kötelező zöldfelületen kívüli) m2 felületre 40 liter kapacitás biztosítása szükséges. A közterületi vízgyűjtőbe való kivezetés csak a járda burkolata alatt valósítható meg,
e) a helyi záportározóba vízgazdálkodási célra (locsolásra) vizet visszatartani nem lehet, arra külön tároló medence létesítése szükséges,
f)
ZÁRÓ RENDELKEZÉSEK
70. HATÁLYBALÉPÉS
78. § (1) Ez a rendelet a kihirdetését követő 30. napon lép hatályba.
(2) A rendelet rendelkezéseit a hatálybalépést követően indult ügyekben kell alkalmazni.
71. HATÁLYON KÍVÜL HELYEZÉS
79. § (1) Hatályát veszti a Paks Város Helyi Építési Szabályzatáról szóló 24/2003. (XII. 31.) önkormányzati rendelet.
(2) Hatályát veszti a változtatási tilalom elrendeléséről szóló 14/2016. (IV. 20.) önkormányzati rendelet.
Süli János s. k. |
Dr. Blazsek Balázs s. k. |
polgármester |
címzetes főjegyző |
Dr. Blazsek Balázs s. k. |
|
címzetes főjegyző |
1. melléklet99
1a. melléklet100
1b. melléklet101
2. melléklet102











3. melléklet103
5. melléklet104

6. melléklet105


Megállapította: Paks Város Önkormányzata Képviselő-testületének 48/2023. (XII. 15.) önkormányzati rendelete 1. §. Hatályos: 2024. I. 14-től.
Beiktatta: Paks Város Önkormányzata Képviselő-testületének 48/2023. (XII. 15.) önkormányzati rendelete 1. §. Hatályos: 2024. I. 14-től.
Beiktatta: Paks Város Önkormányzata Képviselő-testületének 48/2023. (XII. 15.) önkormányzati rendelete 2. § (1). Hatályos: 2024. I. 14-től.
Beiktatta: Paks Város Önkormányzata Képviselő-testületének 48/2023. (XII. 15.) önkormányzati rendelete 2. § (2). Hatályos: 2024. I. 14-től.
Beiktatta: Paks Város Önkormányzata Képviselő-testületének 12/2022. (VI. 23.) önkormányzati rendelete 2. §. Hatályos: 2022. VI. 24-től.
Beiktatta: Paks Város Önkormányzata Képviselő-testületének 7/2022. (IV. 8.) önkormányzati rendelete 1. §. Hatályos: 2022. IV. 9-től.
Megállapította: Paks Város Önkormányzata Képviselő-testületének 11/2023. (III. 20.) önkormányzati rendelete 1. §. Hatályos: 2023. III. 21-től.
Megállapította: Paks Város Önkormányzata Képviselő-testületének 48/2023. (XII. 15.) önkormányzati rendelete 3. §. Hatályos: 2024. I. 14-től.
Módosította: Paks Város Önkormányzata Képviselő-testületének 48/2023. (XII. 15.) önkormányzati rendelete 24. § a).
Módosította: Paks Város Önkormányzata Képviselő-testületének 48/2023. (XII. 15.) önkormányzati rendelete 24. § b).
Megállapította: Paks Város Önkormányzata Képviselő-testületének 12/2022. (VI. 23.) önkormányzati rendelete 3. §. Hatályos: 2022. VI. 24-től.
Megállapította: Paks Város Önkormányzata Képviselő-testületének 1/2023. (I. 13.) önkormányzati rendelete 1. §. Hatályos: 2023. I. 14-től.
Megállapította: Paks Város Önkormányzata Képviselő-testületének 48/2023. (XII. 15.) önkormányzati rendelete 4. §. Hatályos: 2024. I. 14-től.
Beiktatta: Paks Város Önkormányzata Képviselő-testületének 1/2023. (I. 13.) önkormányzati rendelete 2. §. Hatályos: 2023. I. 14-től.
Megállapította: Paks Város Önkormányzata Képviselő-testületének 48/2023. (XII. 15.) önkormányzati rendelete 5. §. Hatályos: 2024. I. 14-től.
Beiktatta: Paks Város Önkormányzata Képviselő-testületének 7/2022. (IV. 8.) önkormányzati rendelete 2. §. Hatályos: 2022. IV. 9-től.
Megállapította: Paks Város Önkormányzata Képviselő-testületének 48/2023. (XII. 15.) önkormányzati rendelete 6. §. Hatályos: 2024. I. 14-től.
Hatályon kívül helyezte: Paks Város Önkormányzata Képviselő-testületének 48/2023. (XII. 15.) önkormányzati rendelete 25. §. Hatálytalan: 2024. I. 14-től.
Módosította: Paks Város Önkormányzata Képviselő-testületének 48/2023. (XII. 15.) önkormányzati rendelete 24. § c).
Beiktatta: Paks Város Önkormányzata Képviselő-testületének 12/2022. (VI. 23.) önkormányzati rendelete 5. §. Hatályos: 2022. VI. 24-től.
Megállapította: Paks Város Önkormányzata Képviselő-testületének 48/2023. (XII. 15.) önkormányzati rendelete 7. §. Hatályos: 2024. I. 14-től.
Beiktatta: Paks Város Önkormányzata Képviselő-testületének 12/2022. (VI. 23.) önkormányzati rendelete 6. §. Hatályos: 2022. VI. 24-től.
Megállapította: Paks Város Önkormányzata Képviselő-testületének 48/2023. (XII. 15.) önkormányzati rendelete 8. §. Hatályos: 2024. I. 14-től.
Módosította: Paks Város Önkormányzata Képviselő-testületének 48/2023. (XII. 15.) önkormányzati rendelete 24. § d).
Módosította: Paks Város Önkormányzata Képviselő-testületének 48/2023. (XII. 15.) önkormányzati rendelete 24. § c).
Módosította: Paks Város Önkormányzata Képviselő-testületének 48/2023. (XII. 15.) önkormányzati rendelete 24. § e).
Módosította: Paks Város Önkormányzata Képviselő-testületének 48/2023. (XII. 15.) önkormányzati rendelete 24. § f).
Beiktatta: Paks Város Önkormányzata Képviselő-testületének 12/2022. (VI. 23.) önkormányzati rendelete 7. §. Hatályos: 2022. VI. 24-től.
Beiktatta: Paks Város Önkormányzata Képviselő-testületének 12/2022. (VI. 23.) önkormányzati rendelete 7. §. Hatályos: 2022. VI. 24-től.
Beiktatta: Paks Város Önkormányzata Képviselő-testületének 48/2023. (XII. 15.) önkormányzati rendelete 9. §. Hatályos: 2024. I. 14-től.
Beiktatta: Paks Város Önkormányzata Képviselő-testületének 48/2023. (XII. 15.) önkormányzati rendelete 10. §. Hatályos: 2024. I. 14-től.
Beiktatta: Paks Város Önkormányzata Képviselő-testületének 48/2023. (XII. 15.) önkormányzati rendelete 11. §. Hatályos: 2024. I. 14-től.
Módosította: Paks Város Önkormányzata Képviselő-testületének 48/2023. (XII. 15.) önkormányzati rendelete 24. § c).
Beiktatta: Paks Város Önkormányzata Képviselő-testületének 48/2023. (XII. 15.) önkormányzati rendelete 12. §. Hatályos: 2024. I. 14-től.
Hatályon kívül helyezte: Paks Város Önkormányzata Képviselő-testületének 12/2022. (VI. 23.) önkormányzati rendelete 20. §. Hatálytalan: 2022. VI. 24-től.
Beiktatta: Paks Város Önkormányzata Képviselő-testületének 1/2023. (I. 13.) önkormányzati rendelete 4. §. Hatályos: 2023. I. 14-től.
Beiktatta: Paks Város Önkormányzata Képviselő-testületének 1/2023. (I. 13.) önkormányzati rendelete 4. §. Hatályos: 2023. I. 14-től.
Beiktatta: Paks Város Önkormányzata Képviselő-testületének 1/2023. (I. 13.) önkormányzati rendelete 4. §. Hatályos: 2023. I. 14-től.
Hatályon kívül helyezte: Paks Város Önkormányzata Képviselő-testületének 48/2023. (XII. 15.) önkormányzati rendelete 25. §. Hatálytalan: 2024. I. 14-től.
Beiktatta: Paks Város Önkormányzata Képviselő-testületének 48/2023. (XII. 15.) önkormányzati rendelete 13. §. Hatályos: 2024. I. 14-től.
Beiktatta: Paks Város Önkormányzata Képviselő-testületének 48/2023. (XII. 15.) önkormányzati rendelete 13. §. Hatályos: 2024. I. 14-től.
Beiktatta: Paks Város Önkormányzata Képviselő-testületének 48/2023. (XII. 15.) önkormányzati rendelete 13. §. Hatályos: 2024. I. 14-től.
Beiktatta: Paks Város Önkormányzata Képviselő-testületének 48/2023. (XII. 15.) önkormányzati rendelete 13. §. Hatályos: 2024. I. 14-től.
Beiktatta: Paks Város Önkormányzata Képviselő-testületének 48/2023. (XII. 15.) önkormányzati rendelete 13. §. Hatályos: 2024. I. 14-től.
Beiktatta: Paks Város Önkormányzata Képviselő-testületének 48/2023. (XII. 15.) önkormányzati rendelete 13. §. Hatályos: 2024. I. 14-től.
Hatályon kívül helyezte: Paks Város Önkormányzata Képviselő-testületének 40/2020. (XII. 11.) önkormányzati rendelete 55. § (2) d). Hatálytalan: 2021. I. 1-től.
Beiktatta: Paks Város Önkormányzata Képviselő-testületének 12/2022. (VI. 23.) önkormányzati rendelete 8. §. Hatályos: 2022. VI. 24-től.
Beiktatta: Paks Város Önkormányzata Képviselő-testületének 12/2022. (VI. 23.) önkormányzati rendelete 8. §. Hatályos: 2022. VI. 24-től.
Beiktatta: Paks Város Önkormányzata Képviselő-testületének 12/2022. (VI. 23.) önkormányzati rendelete 8. §. Hatályos: 2022. VI. 24-től.
Beiktatta: Paks Város Önkormányzata Képviselő-testületének 12/2022. (VI. 23.) önkormányzati rendelete 9. §. Hatályos: 2022. VI. 24-től.
Beiktatta: Paks Város Önkormányzata Képviselő-testületének 12/2022. (VI. 23.) önkormányzati rendelete 9. §. Hatályos: 2022. VI. 24-től.
Beiktatta: Paks Város Önkormányzata Képviselő-testületének 12/2022. (VI. 23.) önkormányzati rendelete 9. §. Hatályos: 2022. VI. 24-től.
Beiktatta: Paks Város Önkormányzata Képviselő-testületének 12/2022. (VI. 23.) önkormányzati rendelete 9. §. Hatályos: 2022. VI. 24-től.
Beiktatta: Paks Város Önkormányzata Képviselő-testületének 12/2022. (VI. 23.) önkormányzati rendelete 9. §. Hatályos: 2022. VI. 24-től.
Beiktatta: Paks Város Önkormányzata Képviselő-testületének 12/2022. (VI. 23.) önkormányzati rendelete 9. §. Hatályos: 2022. VI. 24-től.
A korábbi alcímmel együtt hatályon kívül helyezte: Paks Város Önkormányzata Képviselő-testületének 12/2019. (IV. 29.) önkormányzati rendelete 16. §. Hatálytalan: 2019. IV. 30-tól.
Megállapította: Paks Város Önkormányzata Képviselő-testületének 7/2020. (II. 14.) önkormányzati rendelete 39. §. Hatályos: 2020. III. 15-től. A hatálybalépést követően indult ügyekben kell alkalmazni.
Megállapította: Paks Város Önkormányzata Képviselő-testületének 12/2019. (IV. 29.) önkormányzati rendelete 6. § (1). Hatályos: 2019. IV. 30-tól. Rendelkezéseit a hatálybalépést követően indult ügyekben kell alkalmazni.
Hatályon kívül helyezte: Paks Város Önkormányzata Képviselő-testületének 12/2022. (VI. 23.) önkormányzati rendelete 20. §. Hatálytalan: 2022. VI. 24-től.
Beiktatta: Paks Város Önkormányzata Képviselő-testületének 27/2021. (IX. 10.) önkormányzati rendelete 2. §. Hatályos: 2021. X. 10-től.
Beiktatta: Paks Város Önkormányzata Képviselő-testületének 12/2022. (VI. 23.) önkormányzati rendelete 10. §. Hatályos: 2022. VI. 24-től.
Beiktatta: Paks Város Önkormányzata Képviselő-testületének 48/2023. (XII. 15.) önkormányzati rendelete 14. §. Hatályos: 2024. I. 14-től.
Megállapította: Paks Város Önkormányzata Képviselő-testületének 48/2023. (XII. 15.) önkormányzati rendelete 15. §. Hatályos: 2024. I. 14-től.
Beiktatta: Paks Város Önkormányzata Képviselő-testületének 48/2023. (XII. 15.) önkormányzati rendelete 16. §. Hatályos: 2024. I. 14-től.
Hatályon kívül helyezte: Paks Város Önkormányzata Képviselő-testületének 12/2022. (VI. 23.) önkormányzati rendelete 20. §. Hatálytalan: 2022. VI. 24-től.
Hatályon kívül helyezte: Paks Város Önkormányzata Képviselő-testületének 12/2022. (VI. 23.) önkormányzati rendelete 20. §. Hatálytalan: 2022. VI. 24-től.
Beiktatta: Paks Város Önkormányzata Képviselő-testületének 12/2022. (VI. 23.) önkormányzati rendelete 11. §. Hatályos: 2022. VI. 24-től.
Beiktatta: Paks Város Önkormányzata Képviselő-testületének 12/2022. (VI. 23.) önkormányzati rendelete 11. §. Hatályos: 2022. VI. 24-től.
Beiktatta: Paks Város Önkormányzata Képviselő-testületének 1/2023. (I. 13.) önkormányzati rendelete 5. §. Hatályos: 2023. I. 14-től.
Beiktatta: Paks Város Önkormányzata Képviselő-testületének 1/2023. (I. 13.) önkormányzati rendelete 5. §. Hatályos: 2023. I. 14-től.
Beiktatta: Paks Város Önkormányzata Képviselő-testületének 7/2022. (IV. 8.) önkormányzati rendelete 3. § (1). Hatályos: 2022. IV. 9-től.
Beiktatta: Paks Város Önkormányzata Képviselő-testületének 12/2022. (VI. 23.) önkormányzati rendelete 12. §. Hatályos: 2022. VI. 24-től.
Beiktatta: Paks Város Önkormányzata Képviselő-testületének 7/2022. (IV. 8.) önkormányzati rendelete 3. § (2). Hatályos: 2022. IV. 9-től.
Beiktatta: Paks Város Önkormányzata Képviselő-testületének 12/2022. (VI. 23.) önkormányzati rendelete 13. §. Hatályos: 2022. VI. 24-től.
Hatályon kívül helyezte: Paks Város Önkormányzata Képviselő-testületének 40/2020. (XII. 11.) önkormányzati rendelete 55. § (2) d). Hatálytalan: 2021. I. 1-től.
Beiktatta: Paks Város Önkormányzata Képviselő-testületének 12/2022. (VI. 23.) önkormányzati rendelete 14. §. Hatályos: 2022. VI. 24-től.
Beiktatta: Paks Város Önkormányzata Képviselő-testületének 12/2022. (VI. 23.) önkormányzati rendelete 14. §. Hatályos: 2022. VI. 24-től.
Beiktatta: Paks Város Önkormányzata Képviselő-testületének 12/2022. (VI. 23.) önkormányzati rendelete 14. §. Hatályos: 2022. VI. 24-től.
Megállapította: Paks Város Önkormányzata Képviselő-testületének 48/2023. (XII. 15.) önkormányzati rendelete 17. §. Hatályos: 2024. I. 14-től.
Hatályon kívül helyezte: Paks Város Önkormányzata Képviselő-testületének 40/2020. (XII. 11.) önkormányzati rendelete 55. § (2) d). Hatálytalan: 2021. I. 1-től.
Módosította: Paks Város Önkormányzata Képviselő-testületének 7/2020. (II. 14.) önkormányzati rendelete 43. § (3).
Megállapította: Paks Város Önkormányzata Képviselő-testületének 48/2023. (XII. 15.) önkormányzati rendelete 18. §. Hatályos: 2024. I. 14-től.
Hatályon kívül helyezte: Paks Város Önkormányzata Képviselő-testületének 40/2020. (XII. 11.) önkormányzati rendelete 55. § (2) d). Hatálytalan: 2021. I. 1-től.
Hatályon kívül helyezte: Paks Város Önkormányzata Képviselő-testületének 40/2020. (XII. 11.) önkormányzati rendelete 55. § (2) d). Hatálytalan: 2021. I. 1-től.
Beiktatta: Paks Város Önkormányzata Képviselő-testületének 48/2023. (XII. 15.) önkormányzati rendelete 19. §. Hatályos: 2024. I. 14-től.
Beiktatta: Paks Város Önkormányzata Képviselő-testületének 48/2023. (XII. 15.) önkormányzati rendelete 19. §. Hatályos: 2024. I. 14-től.
Megállapította: Paks Város Önkormányzata Képviselő-testületének 12/2019. (IV. 29.) önkormányzati rendelete 9. § (1). Hatályos: 2019. IV. 30-tól. Rendelkezéseit a hatálybalépést követően indult ügyekben kell alkalmazni.
Megállapította: Paks Város Önkormányzata Képviselő-testületének 7/2020. (II. 14.) önkormányzati rendelete 44. §. Hatályos: 2020. III. 15-től. A hatálybalépést követően indult ügyekben kell alkalmazni.
Megállapította: Paks Város Önkormányzata Képviselő-testületének 7/2020. (II. 14.) önkormányzati rendelete 44. §. Hatályos: 2020. III. 15-től. A hatálybalépést követően indult ügyekben kell alkalmazni.
Beiktatta: Paks Város Önkormányzata Képviselő-testületének 12/2019. (IV. 29.) önkormányzati rendelete 10. §. Hatályos: 2019. IV. 30-tól. Rendelkezéseit a hatálybalépést követően indult ügyekben kell alkalmazni.
Megállapította: Paks Város Önkormányzata Képviselő-testületének 12/2022. (VI. 23.) önkormányzati rendelete 15. §. Hatályos: 2022. VI. 24-től.
Megállapította: Paks Város Önkormányzata Képviselő-testületének 1/2023. (I. 13.) önkormányzati rendelete 6. §. Hatályos: 2023. I. 14-től.
Beiktatta: Paks Város Önkormányzata Képviselő-testületének 1/2023. (I. 13.) önkormányzati rendelete 7. §. Hatályos: 2023. I. 14-től.
Beiktatta: Paks Város Önkormányzata Képviselő-testületének 43/2023. (XI. 24.) önkormányzati rendelete 2. §. Hatályos: 2023. XI. 25-től.
Beiktatta: Paks Város Önkormányzata Képviselő-testületének 12/2022. (VI. 23.) önkormányzati rendelete 17. §. Hatályos: 2022. VI. 24-től.
Beiktatta: Paks Város Önkormányzata Képviselő-testületének 12/2022. (VI. 23.) önkormányzati rendelete 17. §. Hatályos: 2022. VI. 24-től.
Megállapította: Paks Város Önkormányzata Képviselő-testületének 12/2022. (VI. 23.) önkormányzati rendelete 18. §. Hatályos: 2022. VI. 24-től.
Módosította: Paks Város Önkormányzata Képviselő-testületének 12/2022. (VI. 23.) önkormányzati rendelete 19. §.
Megállapította: Paks Város Önkormányzata Képviselő-testületének 11/2024. (IV. 19.) önkormányzati rendelete 1. §, 1. melléklet. Hatályos: 2024. IV. 20-tól.
Megállapítva: Paks Város Önkormányzata Képviselő-testületének 12/2019. (IV. 29.) önkormányzati rendelete 15. § (1), 1/a. melléklet alapján. Módosítására lásd: Paks Város Önkormányzata Képviselő-testületének 28/2019. (XI. 27.) önkormányzati rendelete 1. § (1), 1. melléklet. A hatálybalépést követően indult ügyekben kell alkalmazni.
Megállapította: Paks Város Önkormányzata Képviselő-testületének 27/2019. (XI. 27.) önkormányzati rendelete 1. §, 1. melléklet. Hatályos: 2019. XI. 28-tól.
Megállapította: Paks Város Önkormányzata Képviselő-testületének 48/2023. (XII. 15.) önkormányzati rendelete 21. §, 2. melléklet. Hatályos: 2024. I. 14-től.
Megállapítva: Paks Város Önkormányzata Képviselő-testületének 12/2019. (IV. 29.) önkormányzati rendelete 15. § (5), 3. melléklet alapján. Hatályos: 2019. IV. 30-tól. Rendelkezéseit a hatálybalépést követően indult ügyekben kell alkalmazni.
Megállapította: Paks Város Önkormányzata Képviselő-testületének 48/2023. (XII. 15.) önkormányzati rendelete 22. §, 3. melléklet. Hatályos: 2024. I. 14-től.
Megállapította: Paks Város Önkormányzata Képviselő-testületének 48/2023. (XII. 15.) önkormányzati rendelete 23. §, 4. melléklet. Hatályos: 2024. I. 14-től.